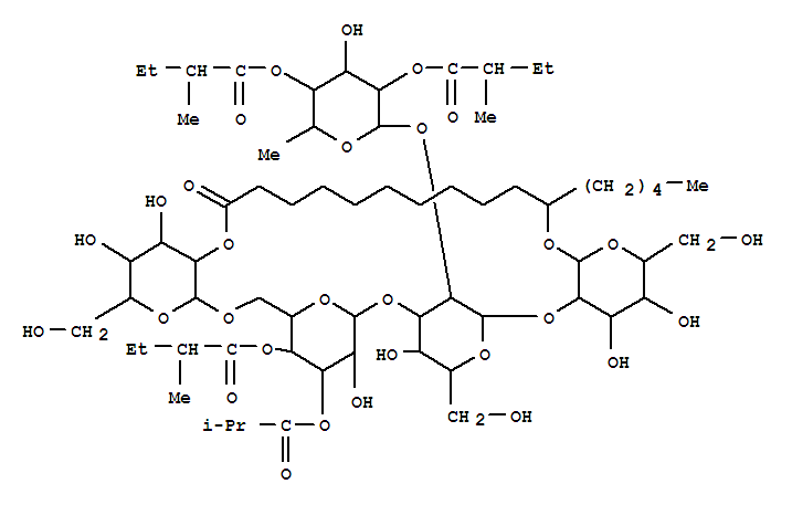
woodrosin II(156057-52-2)
- Name: woodrosin II
- Synonyms:Hexadecanoicacid, 11-[[O-6-deoxy-2,4-bis-O-[(S)-2-methyl-1-oxobutyl]-a-L-mannopyranosyl-(1®2)-O-[O-b-D-glucopyranosyl-(1®6)-4-O-[(S)-2-methyl-1-oxobutyl]-3-O-(2-methyl-1-oxopropyl)-b-D-glucopyranosyl-(1®3)]-O-b-D-glucopyranosyl-(1®2)-b-D-glucopyranosyl]oxy]-, intramol. 1,2''''-ester, (S)-;12,16-Epoxy-6,10-methano-2H,8H,20H,24H-dipyrano[3,2-d:3',2'-s][1,3,6,18,21,28]hexaoxacyclohentriacontin,hexadecanoic acid deriv.; Woodrosin II
- Molecular Formula:C65H110 O30
- Molecular Weight:1371.55
- CAS Registry Number:156057-52-2
- EINECS:
- Melting Point:
- Water Solubility:
Other Product
- 68650-70-4/Coconut oil, polymer with adipic acid, phthalic anhydride and trimethylolethane
- 2033-70-7/1-[4-(2-methylphenoxy)butyl]-4-(pyridin-2-yl)piperazine dihydrochloride
- 71463-50-8/3-(2,6-dichlorophenyl)-3-oxopropiononitrile
- 9008-99-5/Piromen
- 34624-48-1/ALLETHRINS
- 68291-99-6/5-FLUORO-3-SULFAMOYL METHYL-1,2-BENZISOXAZOLE
- 145240-35-3/2-({[(5S,6S)-5-({5-[acetyl(methyl)amino]-3-hydroxy-6-methyl-4-[(3,4,5-trihydroxytetrahydro-2H-pyran-2-yl)oxy]tetrahydro-2H-pyran-2-yl}oxy)-1,6,9,14-tetrahydroxy-11-methoxy-3-methyl-8,13-dioxo-5,6,8,13-tetrahydrobenzo[a]tetracen-2-yl]carbonyl}amino)propano
- 142102-74-7/[(6R,8R,9R)-9-(acetyloxy)-4-amino-8-(5-methyl-2,4-dioxo-3,4-dihydropyrimidin-1(2H)-yl)-2,2-dioxido-1,7-dioxa-2-thiaspiro[4.4]non-3-en-6-yl]methyl benzoate
- 77121-76-7/(6R,7R)-7-{[(2R)-2-carboxy-2-(4-hydroxyphenyl)acetyl]amino}-7-methoxy-3-{[(1-methyl-1H-tetrazol-5-yl)sulfanyl]methyl}-8-oxo-5-oxa-1-azabicyclo[4.2.0]oct-2-ene-2-carboxylic acid diammoniate
- 140-18-1/Benzyl 2-chloroacetate
- 1152-54-1/1,3,4-Thiadiazole-2,5-diamine,N2,N5-diphenyl-
- 13087-54-2/N,N-dimethyl-3-[(phenoxyacetyl)oxy]-3-phenylpentan-1-aminium chloride
- 5476-94-8/N-{4-[(2,2,4,7-tetramethylquinolin-1(2H)-yl)sulfonyl]phenyl}acetamide
- 59682-83-6/N-(1,3-benzodioxol-5-ylmethyl)acetamide
- 17721-95-8/NITROSO-2,6-DIMETHYLPIPERIDINE
- 77162-74-4/2,3-dimethoxy-5-methyl-6-(10-(2,2,5,5-tetramethyl-3-pyrrolin-1-oxyl-3-carboxy)decyl)-1,4-benzoquinone
- 22551-65-1/1,2,4,6-Tetra-O-acetyl-3-O-(2,3,4,6-tetra-O-acetyl-b-D-glucopyranosyl)-a-D-glucopyranoside
- 90503-16-5/2-[3-(benzyloxy)-2-hydroxypropyl]-1H-isoindole-1,3(2H)-dione
- 78406-77-6/3-(diethylamino)-N-(2-ethoxyphenyl)-N~2~,N~2~-diethylalaninamide hydrochloride
- 156057-52-2/woodrosin II
- 35103-34-5/N-(4-Methoxybenzyl)acetamide
- 77360-52-2/Ceftiolene
- 13698-55-0/LEAD FUMARATE TETRABASIC
- 68958-28-1/Methyl 2-methyl-2-propenoate, 1,1-dichloroethene, bis(2-chloroethyl) ethenylphosphonate polymer
- 6793-34-6/Sarpagan-17-al,19,20-dihydro-1-methyl-,(20â)-
- 114317-59-8/Spirost-5-ene-1,3,24-triol,(1b,3b,24S,25R)-
- 85507-89-7/Ethanol, 2-((6-aminohexyl)amino)-, N-C12-18-alkyl mono(2-hydroxyethyl) derivs., acetates (salts)
- 28848-20-6/Silane,ethyl[7-(methylsilyl)-4-hepten-6-ynyl]- (9CI)
- 84649-85-4/Amides, tallow, N-(3-aminopropyl)
- 71119-12-5/Dinazafone
