vasoactive intestinal peptide (1-11)(144119-83-5)
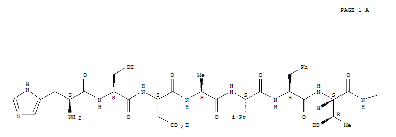
- Name: vasoactive intestinal peptide (1-11)
- Synonyms:L-Threonine,N-[N-[N2-[N-[N-[N-[N-[N-[N-(N-L-histidyl-L-seryl)-L-a-aspartyl]-L-alanyl]-L-valyl]-L-phenylalanyl]-L-threonyl]-L-a-aspartyl]-L-asparaginyl]-L-tyrosyl]-
- Molecular Formula:C55H76 N14 O21
- Molecular Weight:1269.27
- CAS Registry Number:144119-83-5
- EINECS:
- Melting Point:
- Water Solubility:
Other Product
- 72183-95-0/Trichadonic acid
- 71381-73-2/1-Sarcosyl-7-N-methylalanyl-8-isoleucine angiotensin II
- 22785-18-8/(6aS,6bS,10R,10aR,11aS,11bR)-10,11b-dimethyl-5,6,6a,6b,7,8,10a,11,11a,11b-decahydro-1H-benzo[a]fluorene-3,9(2H,10H)-dione
- 24303-47-7/(methylamino)({[(1Z)-1-(3-nitrophenyl)ethylidene]amino}oxy)methanone
- 72207-77-3/Iron, complexes with diazotized 5-amino-2-(phenylamino)benzenesulfonic acid monosodium salt coupled with 4-[(2-hydroxy-3,5-dinitrophenyl)azo]-1,3-benzenediol, diazotized 4-nitrobenzenamine and diazotized 3-aminobenzenesulfonic acid monosodium salt
- 27108-42-5/(aminooxy)(methylamino)methanone hydrochloride (1:1)
- 95897-98-6/N-(1-carboethoxylpropen-1-y-2)daunorubicin
- 18623-44-4/4-[5-(3,4-DIMETHOXY-BENZYLIDENE)-4-OXO-2-THIOXO-THIAZOLIDIN-3-YL]-BUTYRIC ACID
- 169238-48-6/8H-Benzo[g]-1,3-benzodioxolo[5,6-a]quinolizin-8-one,5,6,13,13a-tetrahydro-13-hydroxy-9,10-dimethoxy-13-[(5,8,13,13a-tetrahydro-13,13a-dihydroxy-9,10-dimethoxy-6H-benzo[g]-1,3-benzodioxolo[5,6-a]quinolizin-8-yl)oxy]-(9CI)
- 123025-94-5/preprovasoactive intestinal peptide (111-122)
- 66944-59-0/piperazine-1,4-diyldiethane-2,1-diyl dicycloheptanecarboxylate dihydrochloride
- 37929-28-5/1-Butyl-3,4-dihydro-4,4,6-trimethyl-2(1H)-pyrimidinethione
- 29044-69-7/phenyl-N-methyl-N-benzylcarbamate
- 107233-08-9/CEVIMELINE, HYDROCHLORIDE SALT
- 4386-42-9/2-hydroxy-3-methoxy-5-methylbenzoic acid
- 110933-35-2/Benz[a]anthracene-7,12-dimethanol,7-(hydrogen sulfate), sodium salt (1:1)
- 37744-80-2/S-[2-(butylamino)-2-oxoethyl] O,O-diethyl phosphorodithioate
- 63957-33-5/1-[4-(pentyloxy)phenyl]-3-(piperidin-1-yl)propan-1-one hydrochloride (1:1)
- 7347-48-0/4-[[4-(Dimethylamino)-2-methylphenyl]azo]-2-methylpyridine 1-oxide
- 144119-83-5/vasoactive intestinal peptide (1-11)
- 490-49-3/(-)-FISETINIDOL
- 50412-82-3/2-{[5-(4-methyl-1,2,5-oxadiazol-3-yl)-1H-1,2,4-triazol-3-yl]sulfanyl}acetohydrazide
- 58786-99-5/Butorphanol tartrate
- 49832-49-7/3-[4-(1-Pyrrolidinyl)-2-butynyl]-1,8,8-trimethyl-3-azabicyclo[3.2.1]octane-2,4-dione
- 65986-99-4/cyclic(L-Alanyl-D-threonyl-L-cysteinyl-cis-4-hydroxy-L-prolyl-L-alanyl-2-mercapto-L-tryptophyl-4-methyl-L-norvalyl) cyclic (3-6)-sulfide
- 69913-01-5/GABA permease
- 50831-51-1/BLEOMYCIN BAE
- 636-46-4/4-Hydroxyisophthalic acid
- 75557-22-1/â-D-Galactopyranoside,(3â,5R,22R,25S)-26-(â- D-glucopyranosyloxy)-22-hydroxyfurostan-3-yl O-â-D-glucopyranosyl-(1f2)-O-â-Dglucopyranosyl-( 1f4)-
- 101156-38-1/Aspidospermidine-3-carboxylicacid, 4-(acetyloxy)-6,7-didehydro-15-[(3b,5a,7b,12R,19a)-1,2-didehydro-7-ethyl-7-hydroxy-3-(methoxycarbonyl)-20,21-dinoraspidospermidin-3-yl]-1-formyl-3-hydroxy-16-methoxy-,methyl ester, (2b,3b,4b,5a,12R,19a)-(9CI)
