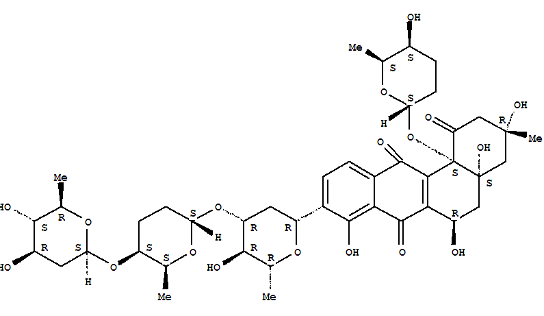
urdamycin F(104562-12-1)
- Name: urdamycin F
- Synonyms:Benz[a]anthracene-1,7,12(2H)-trione,9-[2,6-dideoxy-3-O-[[2S-(2a,5b,6b)]-5-[(2,6-dideoxy-b-D-arabino-hexopyranosyl)oxy]tetrahydro-6-methyl-2H-pyran-2-yl]-b-D-arabino-hexopyranosyl]-3,4,4a,5,6,12b-hexahydro-3,4a,6,8-tetrahydroxy-3-methyl-12b-[(tetrahydro-5-hydroxy-6-methyl-2H-pyran-2-yl)oxy]-,[3R-[3a,4aa,6b,12ba(2S*,5S*,6S*)]]-; Urdamycin F
- Molecular Formula:C43H58 O18
- Molecular Weight:862.91
- CAS Registry Number:104562-12-1
- EINECS:
- Melting Point:
- Water Solubility:
Other Product
- 181821-99-8/N-(2,6-Dimethyl-4-pyridyl)-2-(2,4-dimethoxybenzylsulfinyl)pyridine-3-carboxamide
- 5467-71-0/2-AMINO-4'-CHLOROACETOPHENONE HYDROCHLORIDE
- 76397-85-8/2,3-dihydro-6,7-dihydroxy-3-(4-methoxyphenyl)-4H-1-benzopyran-4-one
- 73425-62-4/N-methyl-1-(9-methyl-2,3,4,9-tetrahydrothiopyrano[2,3-b]indol-4-yl)methanamine hydrobromide
- 9033-44-7/PYROPHOSPHATASE, ACID
- 93771-20-1/2-Benzoxazolinone, 6-benzyl-
- 53853-59-1/methyl 3-amino-6-cyano-5-methoxypyrazine-2-carboximidoate
- 108508-87-8/6-ethyl-9,10-dimethoxy-2-[(2,4,6-trimethylphenyl)amino]-6,7-dihydro-4H-pyrimido[6,1-a]isoquinolin-4-one hydrochloride
- 23080-36-6/Acetophenone,2,2''-dithiobis[4'-chloro-, dioxime (8CI)
- 36857-46-2/HPR 611
- 78466-98-5/Razobazam
- 4746-69-4/4-(2-oxooctahydro-1H-benzimidazol-5-yl)butanoic acid
- 40505-06-4/4-Phenyl-9-acridinamine
- 9073-46-5/Galactosyltransferase,uridine diphosphogalactose-acetylglucosaminylgalactosylglucosylceramide
- 50503-39-4/2(1H)-Pyridinone,1-(2-deoxy-â-D-erythropentofuranosyl)- 4-hydroxy-5-methyl-
- 60267-40-5/Gamba A
- 133488-26-3/1-(3-amino-2,3-dideoxy-alpha-D-arabino-hexofuranosyl)-5-fluoropyrimidine-2,4(1H,3H)-dione
- 104562-12-1/urdamycin F
- 22352-48-3/(2S,4S,5R,6R)-5-acetamido-2-[(2R,3S,4S,5R,6S)-3,5-dihydroxy-2-(sulfoox ymethyl)-6-[(2R,3R,4S,5R)-4,5,6-trihydroxy-2-(hydroxymethyl)oxan-3-yl] oxy-oxan-4-yl]oxy-4-hydroxy-6-[(1S,2R)-1,2,3-trihydroxypropyl]oxane-2- carboxylic acid
- 6787-60-6/Bicyclo[9.2.2]pentadeca-11,13(1),14-triene
- 13867-72-6/COPPER(II) HYDROXYFLUORIDE 99.999%
- 83969-12-4/5-(diisopropylamino)-2-[[4-(dimethylamino)phenyl]azo]-3-methyl-1,3,4-thiadiazolium methyl sulphate
- 80930-58-1/3-ethyl-3,4,5,7,10-pentahydroxy-6,11-dioxo-1,2,3,4,6,11-hexahydrotetracen-1-yl 2,3,6-trideoxy-4-O-[2,6-dideoxy-4-O-(6-methyl-5-oxotetrahydro-2H-pyran-2-yl)hexopyranosyl]-3-(dimethylamino)hexopyranoside
- 4786-52-1/Ethyl 4-hydroxypyrimidine-5-carboxylate
- 52371-78-5/1-{4-[dibutyl(methyl)silyl]butyl}piperidine
- 7111-76-4/2-(2-Methylphenyl)-benzenemethanol
- 8055-05-8/Cervisol
- 91052-83-4/Glycerides, sunflower-oil mono- and di-,2,3-bis(acetyloxy)butanedioates
- 69628-30-4/11-[(2,4-dimethylpiperazin-1-yl)acetyl]-5,11-dihydro-6H-pyrido[2,3-b][1,4]benzodiazepin-6-one hydrochloride
- 118460-97-2/Chromate(3-),[6-[2-[5-chloro-2-(hydroxy-kO)-4-nitrophenyl]diazenyl-kN1]-5-(hydroxy-kO)-1-naphthalenesulfonato(3-)][3-(hydroxy-kO)-4-[2-[2-(hydroxy-kO)-1-naphthalenyl]diazenyl-kN1]-1-naphthalenesulfonato(3-)]-, sodium
