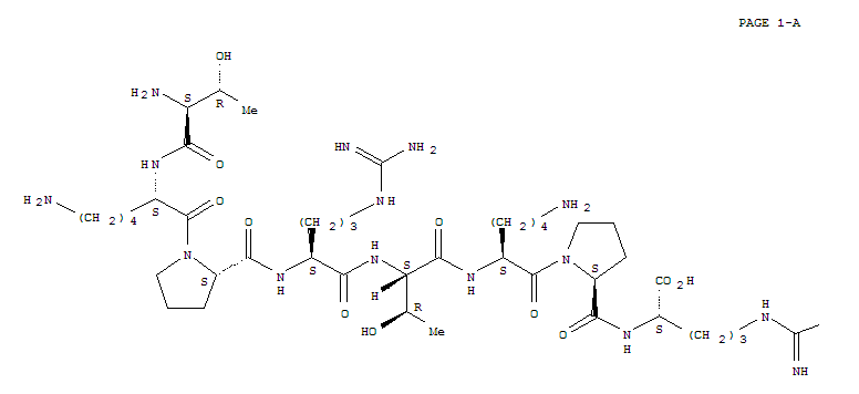
tuftsinyltuftsin(80938-76-7)
- Name: tuftsinyltuftsin
- Synonyms:Thr-Lys-Pro-Arg-tuftsin;Tuftsinyltuftsin
- Molecular Formula:C42H78 N16 O11
- Molecular Weight:983.16932
- CAS Registry Number:80938-76-7
- EINECS:
- Melting Point:
- Water Solubility:
Other Product
- 23687-25-4/4-Isoquinolinamine
- 6950-50-1/1-butyl-6-methyl-4-oxo-2-thioxo-1,2,3,4-tetrahydropyrimidine-5-carbonitrile
- 102907-96-0/(4'S)-12-Deoxy-10,11-dihydro-4'-hydroxypicromycin
- 3002-57-1/N,N-dimethylheptadecylamine
- 68336-14-1/PM-72
- 57762-81-9/Aabomycin S
- 374-40-3/3,3,4,4,4-PENTAFLUORO-2-BUTANOL
- 2741-10-8/N-(2-Pyridinyl)-N'-ethylthiourea
- 127170-82-5/2,6-dihydroxy-3-(1H-imidazol-5-ylmethyl)benzamide hydrochloride
- 555-16-8/4-Nitrobenzaldehyde
- 79806-61-4/Fibrinopeptide A (human),16-L-histidine-
- 15787-87-8/(E)-β-Chloro-4'-nitroacrylophenone
- 70921-64-1/Propanoic acid, 2-methyl-2-[[(methylamino)carbonyl]oxy]-, methyl ester (9CI)
- 51469-57-9/2-[(2E)-3-(4-chlorophenyl)prop-2-enoyl]-N,N,N-trimethylheptan-1-aminium
- 87896-33-1/4-phenyl-2,3,4,5-tetrahydro-1H-1,5-benzodiazepine-2-carboxylic acid
- 51847-82-6/3-[5-(2,5-Dihydroxyphenyl)-3-methyl-3-pentenyl]-6-hydroxy-2,4-dimethylbenzaldehyde
- 171565-02-9/N-(4-amino-1-butyl)-N-nitrosobenzamide
- 22734-10-7/1-nitrosoadamantane
- 5955-06-6/5-ethyl-2-[(2E)-2-(naphthalen-1-ylmethylidene)hydrazinyl]-1,3-thiazol-4(5H)-one
- 80938-76-7/tuftsinyltuftsin
- 159100-45-5/Tridecastibine
- 202925-07-3/3-Chloro-4-fluoroanisole
- 1398-11-4/Aspidosperma [USP IX]
- 74485-37-3/1,3,6,9,11,14-Hexaoxacyclohexadecane
- 18202-24-9/10,13-Octadecadiynoic acid methyl ester
- 223265-66-5/Kaliseptin (reduced)(9CI)
- 153660-62-9/platinum(2+) dichloride 6-methyl-1,3-bis{2-[(2-methylpropyl)sulfanyl]ethyl}pyrimidine-2,4(1H,3H)-dione (1:1)
- 91697-14-2/l-Methionine, N-acetyl-, ester with 2,2-(oxybis(methylene))bis(2-(hydroxymethyl)-1,3-propanediol)
- 78738-53-1/9-[(1R,2S,3R,4R)-2,3-dihydroxy-4-(hydroxymethyl)cyclopentyl]-3,9-dihydro-6H-purine-6-thione
- 77944-88-8/lucifer yellow
