thioformyldistamycin(139341-61-0)
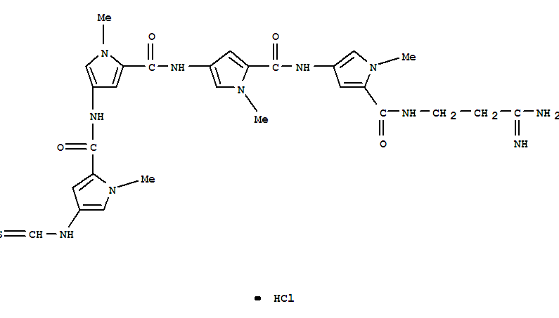
- Name: thioformyldistamycin
- Synonyms:1H-Pyrrole-2-carboxamide,N-[5-[[[5-[[(3-amino-3-iminopropyl)amino]carbonyl]-1-methyl-1H-pyrrol-3-yl]amino]carbonyl]-1-methyl-1H-pyrrol-3-yl]-1-methyl-4-[[[1-methyl-4-[(thioxomethyl)amino]-1H-pyrrol-2-yl]carbonyl]amino]-,monohydrochloride (9CI)
- Molecular Formula:C28H33 N11 O4 S . Cl H
- Molecular Weight:656.15886
- CAS Registry Number:139341-61-0
- EINECS:
- Melting Point:
- Water Solubility:
Other Product
- 253687-28-4/(Z)-heptadec-8-enedioic acid
- 92335-33-6/1-(4-nitrophenyl)-4,5-dihydro-1H-1,2,3-triazole
- 35258-08-3/2-[4-[2-(4-Methoxyphenyl)-1-phenyl-1-butenyl]phenoxy]ethyldiethylamine
- 112568-24-8/4-{[4-(1H-benzimidazol-2-yl)-1,3-thiazol-2-yl]amino}-4-oxobutanoic acid
- 67907-33-9/5-(1,1-dimethylethyl)-2-methoxy-4-(1-propenyl)phenol
- 86539-22-2/ethyl bis[(diethoxyphosphoryl)sulfanyl]acetate
- 51595-54-1/1-chloro-7-oxabicyclo[4.1.0]heptane
- 207736-16-1/5-tert-butyl-4-({2-cyclohexyl-6-hydroxy-2-[2-(4-hydroxyphenyl)ethyl]-4-oxo-3,4-dihydro-2H-pyran-5-yl}sulfanyl)-2-methylphenyl 1-methyl-1H-imidazole-4-sulfonate
- 53957-84-9/3-cyclohexyl-1,3-diazaspiro[4.4]nonane-2,4-dione
- 56081-97-1/dipotassium hexakis(cyano-C)ruthenate
- 153182-48-0/(4R,5S,6S,7R)-4,7-dibenzyl-5,6-dihydroxy-1,3-bis[4-(trifluoromethyl)benzyl]-1,3-diazepan-2-one
- 20032-65-9/1/C11H9N5O/c1-17-6-2-3-8-9(4-6)16-11(14-8)7(5-12)10(13)15-16/h2-4,14H,1H3,(H2,13,15
- 27225-66-7/(6-nitro-1H-indazol-1-yl)methyl 3,4-dichlorobenzoate
- 126026-30-0/isomallotolerin
- 15176-84-8/Phosphonothioicdichloride (8CI,9CI)
- 62666-28-8/N,N-dibutyl-4-{[(Z)-(3-fluoro-6-oxocyclohexa-2,4-dien-1-ylidene)(phenyl)methyl]amino}butanamide
- 129733-58-0/Octadecanoic acid, 12-hydroxy-, homopolymer, reaction products withpolyethylenimine
- 139341-61-0/thioformyldistamycin
- 632-82-6/Anthrachrysone
- 64050-13-1/N,N,N,4-tetramethyl-3-[(piperidin-1-ylcarbonyl)oxy]anilinium iodide
- 142443-98-9/EPO 60
- 6622-13-5/4-Methoxy-N-tritylbutanamide
- 55614-10-3/ARG-PRO-LYS-PRO-GLN-GLN-PHE-TYR-GLY-LEU-MET-NH2
- 69882-16-2/Phenazinium,3,7-diamino-2,8-dimethyl-5-phenyl-, chloride (1:1), homopolymer
- 59772-57-5/4-amino-N-{2-[4-(4-methylpyridin-2-yl)piperazin-1-yl]ethyl}benzamide
- 13224-63-0/22 beta-angeloyloxyoleanolic acid
- 74444-56-7/3-Azido-5-ethyl-6-phenylphenanthridinium
- 105918-75-0/N 96
- 104947-68-4/N-Demethyl-6-O-tetradecanoylbengamide Z
- 19673-28-0/4,4,7,9-tetrabromo-1,2,3,4-tetrahydro-5H-1-benzazepin-5-one
