Current position:Home >Product >
succinyl-valyl-leucyl-prolyl-phenylalanyl-phenylalanyl-valyl-leucinamide
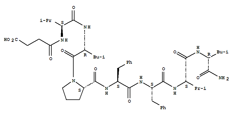
succinyl-valyl-leucyl-prolyl-phenylalanyl-phenylalanyl-valyl-leucinamide(154721-67-2)
- Name: succinyl-valyl-leucyl-prolyl-phenylalanyl-phenylalanyl-valyl-leucinamide
- Synonyms:succinyl-valyl-leucyl-prolyl-phenylalanyl-phenylalanyl-valyl-leucinamide
- Molecular Formula:C49H72 N8 O10
- Molecular Weight:933.14
- CAS Registry Number:154721-67-2
- EINECS:
- Melting Point:
- Water Solubility:
Other Product
- 108930-17-2/H-7 DIHYDROCHLORIDE
- 81518-38-9/(6Z)-6-[4-(4-bromophenyl)-5-(methylsulfanyl)-2,4-dihydro-3H-1,2,4-triazol-3-ylidene]cyclohexa-2,4-dien-1-one
- 102367-12-4/N,N-bis(4-methoxybenzyl)-2-pyrrolidin-1-ylethanamine dihydrochloride
- 54699-44-4/3-Oxo-1,3-dihydro-5-isobenzofurancarboxylic acid nonyl ester
- 38738-59-9/2-Thiopheneacetic acid, alpha-hydroxy-alpha-2-thienyl-, (1R,3R,5R)-6,6 ,9-trimethyl-9-azabicyclo(3.3.1)non-3-yl ester, hydrochloride, rel-
- 117936-86-4/preparation B 100
- 68917-66-8/Turpentine, oil, oxidized
- 152509-92-7/asprellic acid A
- 15515-39-6/N,N-diethyl-2-{4-[(2R,3S)-3-(4-methoxyphenyl)butan-2-yl]phenoxy}ethanamine hydrochloride (1:1)
- 29184-39-2/bis(2-chlorophenethyl) disulphide
- 78902-09-7/PHTHALIMIDOACETALDEHYDE DIETHYL ACETAL
- 82402-02-6/3-[3,3-di(thiophen-3-yl)prop-2-en-1-yl]-4-methyl-5-phenyl-1,3-oxazolidine
- 6094-40-2/PIPERAZINE DIHYDROCHLORIDE
- 32224-65-0/4-amino-3-benzoylbenzenesulfonamide
- 90761-31-2/7-(2,4-dichlorophenyl)-3-hydroxy-5-heptanolide
- 37281-36-0/Ovomucin
- 821-91-0/3-(dodecylamino)propane-1,2-diol
- 65484-57-3/Carbonochloridohydrazonothioic acid
- 154721-67-2/succinyl-valyl-leucyl-prolyl-phenylalanyl-phenylalanyl-valyl-leucinamide
- 4912-59-8/1-phenylcyclohexane-1,2-diol
- 133591-33-0/1,4-dimethyl-3-nitro-9H-carbazole
- 4669-59-4/BIS(DIETHYLAMINO)DIMETHYLSILANE
- 137563-63-4/eurystatin A
- 7239-91-0/calcium; 1-(dipropylamino)-2-[2-[2-(dipropylamino)-2-oxido-ethoxy]cyclohexyl]oxy-ethanolate; sulfanylmethylazanide
- 160231-42-5/[(3S)-oxolan-3-yl] N-[(2S,3R)-4-[cyclopentylmethyl-(4-methoxyphenyl)su lfonyl-amino]-3-hydroxy-1-phenyl-butan-2-yl]carbamate
- 24973-31-7/4-(2-aminopropyl)-2,6-dimethylphenol hydrochloride (1:1)
- 87532-30-7/8-beta-Hydroxy-9-beta,10-beta-epoxyverrucarin
- 12159-07-8/COPPER SILICIDE
- 75723-09-0/1-Piperidinepropanamide, beta-((4-chlorophenyl)imino)-
- 66827-75-6/2-(dimethylamino)-1-phenylethyl 4-methoxybenzoate
