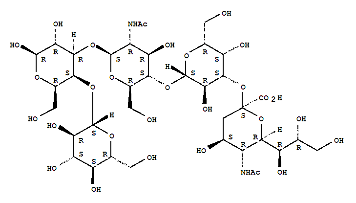
streptococcal polysaccharide Ia group B(84280-28-4)
- Name: streptococcal polysaccharide Ia group B
- Synonyms:streptococcal polysaccharide Ia group B
- Molecular Formula:C37H62 N2 O29
- Molecular Weight:998.88418
- CAS Registry Number:84280-28-4
- EINECS:
- Melting Point:
- Water Solubility:
Other Product
- 127640-90-8/Cyclopropanecarboxamide,2,2-dichloro-N-[(1R)-1-(4-chlorophenyl)ethyl]-1-ethyl-3-methyl-, (1S,3R)-
- 15334-19-7/4-Hexenal,4-methyl-6-[(2-oxo-2H-1-benzopyran-7-yl)oxy]-, (4E)-
- 98584-35-1/Dicyclohexano-27-crown-9
- 39485-83-1/2,2',4,4',6-PENTACHLOROBIPHENYL
- 53405-99-5/5-[(2,4-dinitrophenyl)amino]penta-2,4-dienal
- 56124-67-5/Leiaxanthone
- 56857-47-7/L-Alanine, N-(carboxymethyl)- (9CI)
- 160209-91-6/3H-Naphtho[2,1-b]pyran-7,10-dione,9-hydroxy-3-(4-hydroxy-4-methylpentyl)-3,8-dimethyl-, (3R)-
- 38507-46-9/1,6-dimethyl-3-phenylpyrimidine-2,4(1H,3H)-dione
- 104499-96-9/substance P (5-11), N-alpha-(desamino-3-iodotyrosyl)-8-N-me-Phe-5,6-Asp-
- 75214-68-5/Chromate(2-), bis(4-((5-chloro-2-hydroxyphenyl)azo)naphth(2,1-d)-1,3-oxathiazol-5-ol 3,3-dioxidato(2-))-, sodium
- 96616-51-2/9-methoxy-4-[(4-methylpiperazin-1-yl)methyl]-7H-furo[3,2-g]chromen-7-one hydrochloride (1:1)
- 172798-50-4/3-[[(Z)-2-acetamido-3-(4-methoxyphenyl)prop-2-enoyl]amino]propanoic ac id
- 81543-05-7/(1R)-6α-Acetyloxy-1,2,3,6,7,7a,10,14,14aβ,14b-decahydro-1α-hydroxy-3,13-dimethoxy-5,5,7aβ,9,14bα-pentamethyl-12H-3β,5aβ-epoxy-5H-furo[3,4-i]oxepino[4,3-a]xanthen-12-one
- 147663-94-3/Furan,3-[(3E,6E)-4,8-dimethyl-3,6,8-nonatrienyl]- (9CI)
- 18091-75-3/Pyrido[3,2:4,5]imidazo[1,2-c][1,2,3]benzotriazine
- 185742-22-7/Tenuisine B
- 16650-12-7/(2R,3R)-2,3-dichlorooxirane
- 89069-58-9/2-(benzylsulfanyl)-3-[2-(trifluoromethyl)phenyl]pyrimidin-4(3H)-one
- 84280-28-4/streptococcal polysaccharide Ia group B
- 40762-37-6/3-[2-(prop-2-en-1-yloxy)ethoxy]propanenitrile
- 155622-16-5/Thiosulfuric acid, S-(2-(((3-(4-hydroxyphenyl)tricyclo(3.3.1.1(sup 3,7 ))dec-1-yl)methyl)amino)-2-iminoethyl) ester
- 7236-82-0/cyclobutane
- 18556-13-3/Difuro[2,3-b:3',2'-f]quinolin-10(6H)-one,1,2- dihydro-2-(1-hydroxy-1-methylethyl)-4- methoxy-6-methyl-
- 79201-86-8/Spiro[pyrrolidine-3,2'-tricyclo[3.3.1.13,7]decane],1-methyl-,(2Z)-2-butenedioate (1:1)
- 2402-98-4/pyridine-2-carbonitrile 1-oxide
- 82086-62-2/2-methylpenta-2,3-dien-1-amine
- 2816-57-1/2,5-DIMETHYLCYCLOHEXANONE
- 5034-68-4/L-TYROSINOL
- 131603-03-7/b-D-Glucopyranoside,(1S,4E,8E,12Z)-14-[[O-6-deoxy-2-O-[(2E,4R,6E,10E,14S)-14-(b-D-glucopyranosyloxy)-4-hydroxy-2,6,10,14-tetramethyl-1-oxo-2,6,10,15-hexadecatetraenyl]-a-L-mannopyranosyl-(1®6)-O-b-D-glucopyranosyl-(1®3)-6-deoxy-a-L-mannopyranosyl]oxy]-1-ethenyl-1,5,9,13-tetramethyl-4,8,12-tetradecatrienyl2-O-b-D-glucopyranosyl- (9CI)
