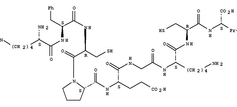
sperm-activating peptide 1(140653-60-7)
- Name: sperm-activating peptide 1
- Synonyms:Peptide SV1 (Stomopneustes variolaris reduced)
- Molecular Formula:C44H71 N11 O12 S2
- Molecular Weight:1010.23104
- CAS Registry Number:140653-60-7
- EINECS:
- Melting Point:
- Water Solubility:
Other Product
- 5037-60-5/4,7-dimethyl-2,3-dihydroinden-1-one
- 124689-64-1/cryptophycin 46
- 73962-12-6/1,N(6)-ethenoadenosine-2-sulfonate guanosine 3'-phosphodiester
- 94166-68-4/ammonium hydrogen 7-aminonaphthalene-1,3-disulphonate
- 85135-99-5/sodium 2,6-diaminotoluene-3-sulphonate
- 2255-14-3/alpha-D-Galactose1-phosphate(and/orunspecifiedsalts)
- 32830-75-4/3-chloro-5-ethoxyfuran-2(5H)-one
- 80047-23-0/1,2-dimethyl-6-oxo-1,6-dihydro-3,4'-bipyridine-5-carbonitrile
- 93637-71-9/N,N-bis(2-chloroethyl)-4-[(E)-{[4-(1H-imidazol-5-yl)phenyl]imino}methyl]aniline
- 148411-94-3/unkempt protein
- 5579-13-5/Capuride
- 78-73-9/Choline bicarbonate
- 20025-52-9/1/C30H52/c1-10-25(6)16-12-20-30(9,21-13-17-26(7)15-11-14-23(2)3)29-22-27(8)18-19-28(29)24(4)5/h10,17,22-23,25,28-29H,1,4,11-16,18-21H2,2-3,5-9H3/b26-17
- 39562-64-6/ethyl prop-2-en-1-yl 2,6-dimethyl-4-[2-(trifluoromethyl)phenyl]-1,4-dihydropyridine-3,5-dicarboxylate
- 88876-93-1/1-(2-nitro-1H-imidazol-1-yl)-3-(2-phenylaziridin-1-yl)propan-2-ol
- 81604-85-5/Neocarzinostatin chromophore
- 51627-87-3/2-[2-oxo-4-(4-phenylpiperazin-1-yl)butyl]-2-phenyl-1H-indene-1,3(2H)-dione
- 15930-96-8/(3E)-N,N-dimethyl-3-(2-methyl-9H-thioxanthen-9-ylidene)propan-1-amine hydrochloride
- 7336-44-9/(S)-7-(Dimethylamino)-6,7-dihydro-1,2,3,10-tetramethoxybenzo[a]heptalen-9(5H)-one
- 140653-60-7/sperm-activating peptide 1
- 104406-78-2/8-hydroxy-7-[3-(4-hydroxyphenyl)propanoyl]-2,2,5-trimethyl-5-(3-methylbut-2-en-1-yl)-2H-chromen-6(5H)-one
- 6799-27-5/Tylophorinine
- 70714-93-1/N-(2,3-dimethylphenyl)naphthalen-2-amine
- 177478-99-8/L-prolyl]glycyl]-L-isoleucyl]-L-threonyl]-L-prolyl]-
- 163702-43-0/Ethanaminium,2-[[2-cyano-3-[4-[ethyl(phenylmethyl)amino]phenyl]-1-oxo-2-propen-1-yl]oxy]-N,N,N-trimethyl-,chloride (1:1), reaction products with3,6-bis(ethylamino)-9-[2-(methoxycarbonyl)phenyl]-2,7-dimethylxanthyliumchloride (1:1), sodium phosphate (2:1), sodium (T-4)-molybdate (MoO42-) (2:1)and sodium (T-4)-tungstate (WO42-) (2:1)
- 68214-08-4/2-[(7-hydroxy-5-methyl[1,2,4]triazolo[1,5-a]pyrimidin-2-yl)methyl]isothiourea monohydrochloride
- 8006-19-7/ammonium nitrate - 2-methyl-1,3,5-trinitrobenzene (1:1:1)
- 696-13-9/1-methyl-2-thioxotetrahydropyrimidin-4(1H)-one
- 92502-51-7/2-Butenoic acid, 4,4-((dibutylstannylene)bis(oxy))bis(4-oxo-, dimethyl ester, reaction products with dibutyloxostannane
- 94158-01-7/1,1'-(iminodiethane-2,1-diyl)bis[2-amino-1,5-dihydro-4H-imidazol-4-one]
