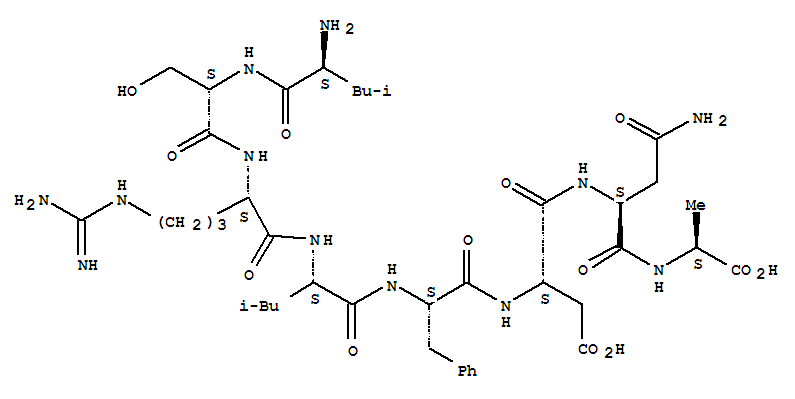
somatotropin (6-13)(55207-83-5)
- Name: somatotropin (6-13)
- Synonyms:L-Alanine,N-[N2-[N-[N-[N-[N2-(N-L-leucyl-L-seryl)-L-arginyl]-L-leucyl]-L-phenylalanyl]-L-a-aspartyl]-L-asparaginyl]-; 19:PN: US20090175821 SEQID: 24 claimed protein; 23: PN: WO0069900 SEQID: 24unclaimed sequence; 8: PN: WO03002594 PAGE: 1 claimed protein; Human growthhormone(6-13)
- Molecular Formula:C41H66 N12 O13
- Molecular Weight:935.04
- CAS Registry Number:55207-83-5
- EINECS:
- Melting Point:
- Water Solubility:
Other Product
- 132512-75-5/cystatin C, N-terminal octapeptide
- 3164-34-9/CALCIUM TARTRATE
- 66355-03-1/2-(2,4-Dimethylphenyl)-3-[(1H-tetrazol-5-yl)methylthio]-1H-indole
- 641-77-0/11BETA,17ALPHA-DIHYDROXY-4-PREGNENE-3,20-DIONE
- 6285-99-0/(3E)-3-benzylidenedihydrofuran-2(3H)-one
- 85896-03-3/phenyl 2-methyl-5-nitrobenzenesulphonate
- 12225-26-2/Reactive Black 8
- 28945-12-2/(4R,αS)-α,2-Diamino-1,4,5,6-tetrahydro-6α-hydroxy-4-pyrimidineacetic acid
- 91774-37-7/ethyl (4,5-dihydro-1H-imidazol-2-ylsulfanyl)acetate
- 115398-83-9/5-nitro-2-({1-[(4-phenylpiperidin-1-yl)methyl]-1H-benzimidazol-2-yl}methyl)-1H-isoindole-1,3(2H)-dione
- 99759-68-9/N-(4-(Hydroxymethyl)-1-(2-(2-thienyl)ethyl)-4-piperidinyl)-N-phenylpro panamide
- 85409-56-9/2,4-dihydro-4-[(4-methoxy-2-nitrophenyl)azo]-1-[2-methoxy-5-[[2-(propionyloxy)ethyl]sulphonyl]phenyl]-5-methyl-3H-pyrazol-3-one
- 73747-58-7/(Z)-4-[[3-(1-Methylethoxy)propyl]amino]-4-oxo-2-butenoic acid
- 136315-04-3/6-hydroxyl-1,6-dihydropurine ribonucleoside
- 1860-60-2/3-BENZYLOXY-4-METHOXYBENZYL ALCOHOL
- 7440-23-5/Sodium
- 19889-92-0/(2E,S)-2,5-Dimethyl-4-vinyl-2,5-hexadien-1-ol
- 100566-83-4/N-epsilon-(Octanoyl)lysyl-uracil polyoxin C
- 55207-83-5/somatotropin (6-13)
- 49637-08-3/8-(1,2-dimethylheptyl)-1,3,4,5-tetrahydro-5,5-dimethyl-2-(2-propynyl)-2H-(1)benzopyrano(4,3-c)pyridin-10-yl ester, monohydrochloride
- 70700-62-8/3,5-dimethyl-1-[(octylsulfanyl)methyl]pyridinium chloride
- 159445-63-3/Nateplase
- 2698-39-7/propyl (4-chloro-2-methylphenoxy)acetate
- 16667-04-2/4-(2-ETHYLPHENYL)-3-THIOSEMICARBAZIDE
- 228406-54-0/2-Propenoic acid,2-methyl-, 2-[(1,1-dimethylethyl)amino]ethyl ester, polymer with methyl2-methyl-2-propenoate, 2-propenoic acid andN-(1,1,3,3-tetramethylbutyl)-2-propenamide, sodium salt, 1,1-dimethylpropyl2,2-dimethylpropaneperoxoate-initiated
- 57564-91-7/S-NITROSOGLUTATHIONE
- 76353-74-7/4-hydroperoxydechlorocyclophosphamide
- 10147-53-2/(4alpha,5alpha,8xi,9xi,10xi,13xi,14xi,17beta)-17-hydroxy-4-methylandrostan-3-one
- 53632-32-9/38353-81-0
- 94221-42-8/Benzonitrile, 2-((1-methyl-5-((2-phenoxyethyl)imino)-3-pyrrolidinyl)methoxy)-, (E)-2-butenedioate (1:1)
