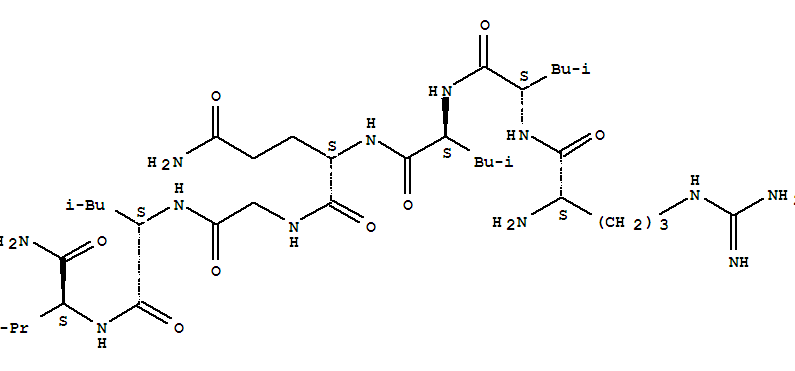
secretin (21-27)(45323-83-9)
- Name: secretin (21-27)
- Synonyms:secretin (21-27)
- Molecular Formula:C36H68 N12 O8
- Molecular Weight:1012.88
- CAS Registry Number:45323-83-9
- EINECS:
- Melting Point:
- Water Solubility:
Other Product
- 5344-99-0/(6E)-4-nitro-6-[(quinolin-8-ylamino)methylidene]cyclohexa-2,4-dien-1-one
- 28677-93-2/methoxy-1-propanol
- 21498-52-2/naphthalen-1-yl(diphenyl)arsane
- 33034-97-8/N-(2,6-dichlorophenyl)-2-[(2,3-dimethylphenyl)amino]benzamide
- 68517-49-7/(1R,4S)-2-Azabicyclo[2.1.0]pentane-3α-carboxylic acid
- 52094-70-9/7,6-benzo-1,3-diazaspiro(4,5)decane-2,4-dione
- 72349-30-5/1-pentofuranosyl-1,3-dihydro-2H-imidazole-2-thione
- 1871-58-5/1,2,3-trichloro-2-methylpropane
- 73664-23-0/Rifamycin B ditolylamide
- 17062-65-6/3-(3-chlorophenyl)-2-sulfanylidene-thiazolidin-4-one
- 136112-01-1/2-(hydroxymethyl)-4-[1-hydroxy-2-[6-(4-phenylbutoxy)hexylamino]ethyl]phenol
- 13012-99-2/butan-2-yl 4,4,4-trinitrobutanoate
- 100-36-7/N,N-Diethylethylenediamine
- 24011-67-4/N-cyclohexyl-3-oxo-3,4-dihydro-2H-1,4-benzoxazine-2-carboxamide
- 1325-62-8/Sirius Light Brown R
- 1358-62-9/kopsinine F
- 45323-83-9/secretin (21-27)
- 97816-60-9/FLB 524
- 23243-42-7/1,4-bis(hexyloxy)-1,4-dioxobutane-2-sulfonic acid
- 148152-63-0/Napitane
- 78308-22-2/1-hydroxy-6,7,8-trimethoxy-3-methylanthraquinone
- 61087-51-2/1-benzyl-4-(phenylamino)piperidine-4-carboxylic acid monohydrochloride
- 81-53-8/2-chloro-1,4-dihydroxyanthraquinone
- 16022-45-0/ethyl (2-phenylethyl)dithiocarbamate
- 81732-65-2/Bambuterol
- 90063-51-7/Lily, Lilium tigrinum, ext.
- 63438-27-7/10,11-dihydrodiol-8,9-epoxide benzanthracene
- 31223-60-6/1-[3-{1-[3-acetyl-2,6-dihydroxy-4-methoxy-5-(3-methylbut-2-en-1-yl)phenyl]-3-methylbutyl}-2,4,6-trihydroxy-5-(3-methylbut-2-en-1-yl)phenyl]ethanone
- 102613-04-7/N-methoxy-N-methylundec-10-enamide
- 31883-01-9/5-ethyl-4-methylthiazole
