scammonin I(131747-25-6)
- Name: scammonin I
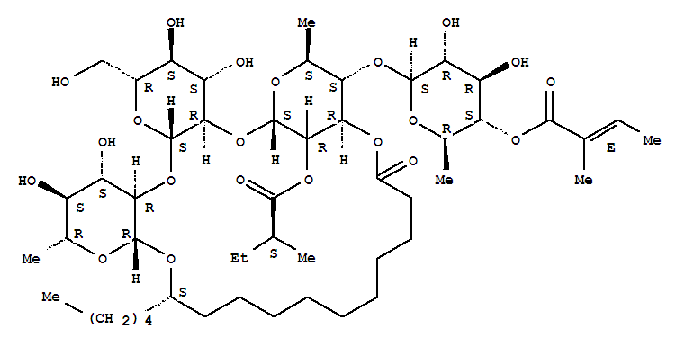
- Synonyms:Hexadecanoicacid, 11-[[O-(E)-6-deoxy-4-O-(2-methyl-1-oxo-2-butenyl)-b-D-glucopyranosyl-(1®4)-O-(S)-6-deoxy-2-O-(2-methyl-1-oxobutyl)-a-L-mannopyranosyl-(1®2)-O-b-D-glucopyranosyl-(1®2)-6-deoxy-b-D-glucopyranosyl]oxy]-, intramol. 1,3'''-ester, (S)-;Hexadecanoic acid, 11-[[O-6-deoxy-4-O-[(2E)-2-methyl-1-oxo-2-butenyl]-b-D-glucopyranosyl-(1®4)-O-6-deoxy-2-O-[(2S)-2-methyl-1-oxobutyl]-a-L-mannopyranosyl-(1®2)-O-b-D-glucopyranosyl-(1®2)-6-deoxy-b-D-glucopyranosyl]oxy]-, intramol. 1,3'''-ester,(11S)- (9CI);6,10-Methano-2H,8H,12H,25H-dipyrano[3,2-d:3',2'-g][1,3,6,9,21]pentaoxacyclotetracosin,hexadecanoic acid deriv.; Scammonin I
- Molecular Formula:C50H84 O21
- Molecular Weight:1021.2
- CAS Registry Number:131747-25-6
- EINECS:
- Melting Point:
- Water Solubility:
Other Product
- 5425-54-7/2-(naphthalen-2-ylamino)cyclohexanone
- 20403-61-6/Diacetylgitoxin gamma,delta
- 5985-17-1/N~2~-[(3,4-dimethoxyphenyl)sulfonyl]-N-(2-fluorophenyl)-N~2~-(4-methoxyphenyl)glycinamide
- 122777-79-1/N-[3-(dimethylamino)propyl]-N-(2-nitrothiophen-3-yl)acetamide hydrochloride
- 71518-19-9/1H-Imidazole-5-sulfonamide,4-amino-1-methyl-(9CI)
- 2192-06-5/2-AMINO-4,5-DIHYDRO-1,3-THIAZOL-4-ONE HYDROCHLORIDE
- 15765-79-4/(~99~Rh)rhodium
- 3774-99-0/(5E)-5-benzylidene-1,3-thiazolidine-2,4-dione
- 41637-63-2/2-Propenoic acid, 2-methyl-, butyl ester, polymer with methyl 2-methylpropenoate and 2-sulfoethyl 2-methyl-2-propenoate
- 80307-12-6/GMBS
- 21686-10-2/Flupranone
- 139009-25-9/1-{2-[(2-fluorophenyl)sulfanyl]phenyl}-N,N-dimethylmethanamine hydrochloride
- 6238-86-4/{2-[(3,4-dichlorobenzoyl)amino]-5-methoxyphenoxy}acetic acid
- 79005-85-9/Valphos
- 73455-30-8/Dimethylamine ethylenediaminetetraacetate
- 63042-53-5/10-methyl-12H-benzo[a]phenothiazine
- 127749-91-1/tert-butyl 1-[(2R,3S)-3-({N~2~-[(benzyloxy)carbonyl]-L-asparaginyl}amino)-2-hydroxy-4-phenylbutyl]-L-prolinate
- 14093-11-9/(~172~Hf)hafnium
- 131747-25-6/scammonin I
- 105347-94-2/Manganese,[[2-[(dithiocarboxy)amino]ethyl]- carbamodithioato(2-)-kS,kS']-,mixt. with [[2-[(dithiocarboxy)amino]ethyl]- carbamodithioato(2-)-kS,kS']zinc and N-[2,2,2-trichloro-1-(4-morpholinyl)ethyl]- formamide
- 52315-76-1/L-Lysine acetate
- 1973-05-3/N,N',N''-triphenyl-1,3,5-triazine-2,4,6-triamine
- 20653-35-4/8-sulfonaphthalene-1-diazonium chloride
- 127820-66-0/6-amino-3-methyl-1-(beta-D-ribofuranosyl)-1,2-dihydro-4H-pyrazolo[3,4-d]pyrimidin-4-one
- 14850-22-7/CIS-3-OCTENE
- 59989-96-7/Ken-React TTP 34S
- 63364-70-5/3-methylbuta-1,2-dien-1-one
- 41213-75-6/1-[4-(4-methoxyphenyl)-1,3-thiazol-2-yl]-3-methylurea
- 122936-96-3/U-CAT SA 821
- 68082-37-1/Tall oil acids, tall oil rosin, pentaerythritol ester
