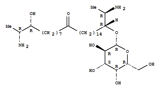
rhizochaline(125342-59-8)
- Name: rhizochaline
- Synonyms:(-)-Rhizochalin;Rhizochalin
- Molecular Formula:C34H68 N2 O8
- Molecular Weight:632.9123
- CAS Registry Number:125342-59-8
- EINECS:
- Melting Point:
- Water Solubility:
 
	   Other Product
- 6315-66-8/butyl 5-amino-2-[(cyclohexylmethyl)(methylcarbamoyl)amino]-1,3-thiazole-4-carboxylate
- 76788-86-8/4-[(2,4-Dihydroxy-6-methylbenzoyl)oxy]-2-methoxy-6-methylbenzoic acid 4-carboxy-3-hydroxy-5-methylphenyl ester
- 13827-01-5/manganate(1-), trifluoro-, potassium (1:1)
- 91666-90-9/3,4-Dimethylangelicin
- 163314-99-6/Pyrrolidine,3-methyl-1-(3-methylbutyl)-, (3R)-
- 6103-83-9/(3S,5R)-5-methyl-1-phenyl-3-[(2-phenylethyl)amino]pyrrolidin-2-one hydrochloride (1:1)
- 15473-84-4/N-[2-(4-{[3-(2-amino-4-oxo-6-phenyl-1,4-dihydropyrimidin-5-yl)propyl]amino}phenyl)ethyl]-2-bromoacetamide
- 37425-81-3/3-chloro-2-methyl-N-[(2E)-1-(2-methylprop-1-en-1-yl)pyrrolidin-2-ylidene]aniline
- 15384-37-9/D-XYLONO-1,4-LACTONE
- 88703-86-0/(methylimino)diethane-2,1-diyl dipalmitate
- 6155-47-1/(3beta,12alpha)-solanid-5-ene-3,12-diol hydrobromide (1:1)
- 113184-26-2/2-Propenoic acid, 2-methyl-, polymer with 1,3-butadiene and ethenylbenzene, compd. with 2,2,2-nitrilotris(ethanol)
- 76201-88-2/Propanoic acid, 2-hydroxy-, compd. with 1,5-dimethyl-6H-pyrido(4,3-b)c arbazole (1:1)
- 515-12-8/Elemane.
- 137245-41-1/2-Deoxy-2-[(R)-3-hydroxytetradecanoylamino]-3-O-[(R)-3-[(R)-3-hydroxytetradecanoyloxy]tetradecanoyl]-α-D-glucopyranose 4-phosphoric acid
- 91722-11-1/Slimes and Sludges, aluminum manuf. waste gas washing
- 34191-51-0/2,4-dimethyl-6-(phenylhydrazono)cyclohexa-2,4-dien-1-one
- 16783-52-1/1-Propanol, 3-boryl-(8CI,9CI)
- 52659-51-5/Chlorin k
- 125342-59-8/rhizochaline
- trans-4,4′-DIMETHYL-α-α′-DIETHYLSTILBENE ">34983-45-4/trans-4,4′-DIMETHYL-α-α′-DIETHYLSTILBENE
- 109495-48-9/1-methyl-4-(5-phenyl-1,3-oxazol-2-yl)pyridinium chloride
- 99280-77-0/sodium 2-(4-oxocyclohexa-2,5-dien-1-ylidene)hydrazinesulfonate
- 85232-93-5/1,2-Benzenediol,4-[(S)-(4,5-dihydro-1H-imidazol-2-yl)hydroxymethyl]-(9CI)
- 6067-66-9/N~2~-(4-ethoxyphenyl)-N-phenyl-N~2~-(phenylsulfonyl)glycinamide
- 19008-43-6/Benzyl p-aminobenzoate
- 174423-48-4/Cardiopidine
- 13530-65-9/ZINC CHROMATE
- 6281-86-3/pentyl (2E)-(5-hydroxy-3-oxo-4-phenylfuran-2(3H)-ylidene)(phenyl)ethanoate
- 81195-09-7/1-[4-(4,4-dimethyl-1-phenyl-2,3-dihydrophosphinolin-1-ium-1-yl)butyl]-4,4-dimethyl-1-phenyl-2,3-dihydrophosphinolin-1-ium hexafluorophosphate

 
               
       