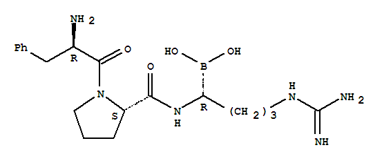
phenylalanyl-prolyl-boroarginine(130926-95-3)
- Name: phenylalanyl-prolyl-boroarginine
- Synonyms:phenylalanyl-prolyl-boroarginine
- Molecular Formula:C19H31 B N6 O4
- Molecular Weight:418.3
- CAS Registry Number:130926-95-3
- EINECS:
- Melting Point:
- Water Solubility:
Other Product
- 93793-76-1/Swormlure 4
- 54481-26-4/diethyl 2,2'-dithiobisbenzoate
- 149418-41-7/3,4-dibromo-5H-furan-2-one
- 4880-82-4/GINDARINE HYDROCHLORIDE
- 112922-98-2/2-morpholin-4-ylethyl [2-(hexyloxy)phenyl]carbamate hydrochloride
- 133107-49-0/DKP-insulin
- 73049-39-5/DEOXYRIBONUCLEIC ACID SODIUM SALT
- 335665-58-2/3-[(2S)-4-cyclopropyl-1,1,1-trifluoro-2-(pyridin-4-ylmethoxy)but-3-yn-2-yl]pyridin-2(1H)-one
- 61126-99-6/2-(6,7-dimethyl-6-azabicyclo[3.2.1]oct-1-yl)phenol hydrobromide
- 298-07-7/Bis(2-ethylhexyl) phosphate
- 9003-03-6/ACRYLIC ACID, AMMONIUM SALT POLYMER
- 185012-38-8/Torvoside C
- 3426-01-5/1,4-diphenylpyrazolidine-3,5-dione
- 28066-95-7/m-[1-(2-Phenoxyethyl)-3-propyl-3-pyrrolidinyl]phenol
- 74101-29-4/N-[5-(4-chlorophenyl)-2-(4-phenyl-1,3-thiazol-2-yl)pyrazol-3-yl]benzam ide
- 15761-06-5/Osmium189
- 130926-95-3/phenylalanyl-prolyl-boroarginine
- 86070-74-8/antibiotic FK 089
- 930-90-5/TRANS-1-ETHYL-2-METHYLCYCLOPENTANE
- 15717-29-0/TETRACYCLOHEXYL ORTHOSILICATE
- 59995-49-2/4-hydroxy-2-cyclopentenone
- 28646-25-5/N,N-diethyl-N~2~-(2-phenylethyl)asparagine
- 140401-05-4/4-Hexenoic acid,6-(1,3-dihydro-4-hydroxy-6-methoxy-7-methyl-3-oxo-5-isobenzofuranyl)-4-methyl-,2-(4-morpholinyl)ethyl ester, (4E)-
- 60213-69-6/oleanolic acid-3-O-β-D-glucopyranosyl (1→2)-α-L-arabinopyranoside
- 42797-36-4/3,3-bis[(4-methylphenyl)sulfanyl]-2-benzofuran-1(3H)-one
- 68239-79-2/bis[ethyl(4-hydroxy-o-tolyl)ammonium] sulphate
- 1094-08-2/10-[2-DIETHYLAMINOPROPYL]PHENOTHIAZINE
- 101491-46-7/N-[(3-methyl-4-oxo-2-phenyl-4H-chromen-6-yl)methyl]-N-propylpropan-1-aminium chloride
- 6336-95-4/N-(5-amino-9,10-dioxo-9,10-dihydroanthracen-1-yl)-6-oxo-6H-anthra[9,1-cd][1,2]thiazole-3-carboxamide
- 108635-31-0/6,8-dibromo-3-(2-methoxyphenyl)-2-[(propylsulfanyl)methyl]quinazolin-4(3H)-one
