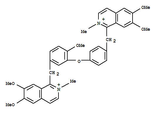
phaeanthrine(27670-80-0)
- Name: phaeanthrine
- Synonyms:Phaeantharine;Pheantharine;
- Molecular Formula:C39H40 N2 O6
- Molecular Weight:632.7447
- CAS Registry Number:27670-80-0
- EINECS:
- Melting Point:
- Water Solubility:
Other Product
- 148175-01-3/Phosphono(dithioperoxo)dithioicacid (9CI)
- 57604-37-2/N,N-bis(2-chloroethyl)-4-methyl-1,3,2-oxazaphosphinan-2-amine 2-oxide
- 4959-17-5/7-AMINOCLONAZEPAM
- 127040-60-2/N-(2-phenylethyl)-2-(2-thioxopyrrolidin-1-yl)ethanethioamide
- 92-98-8/[2-(N-ethylanilino)ethyl]trimethylammonium chloride
- 72076-47-2/5-(acetylamino)-1-(acetyloxy)naphthalene-2-sulfonic acid - pyridine (1:1)
- 57272-30-7/sodium (5E)-3-hydroxy-3-methyl-6-(2,2,3-trimethylcyclopent-3-en-1-yl)hex-5-enoate
- 9011-70-5/POLYBORCHLORATE
- 24206-15-3/O~16~-acetyl-17-(propan-2-yl)samandarine
- 134619-54-8/N-butyl-5-methyl-1,3-diphenyl-N-(tricyclo[3.3.1.1~3,7~]dec-2-yl)-1H-pyrazole-4-carboxamide
- 28920-46-9/N-{3,5-bis[ethyl(propanoyl)amino]-2,4,6-triiodobenzoyl}-N-ethylglycine
- 13896-82-7/1-phenyl-2-(quinolin-2-ylsulfanyl)ethanone
- 1780-31-0/2,4-Dichloro-5-methylpyrimidine
- 62402-02-2/7-[3-[[2-(3,4-Dihydroxyphenyl)-2-hydroxyethyl]amino]propyl]-8-(2-methylmorpholino)theophyline
- 488-44-8/Allitol
- 27670-80-0/phaeanthrine
- 80649-46-3/1-(4-cyclopentylphenyl)-N,N-dimethylethanamine hydrochloride
- 2295-33-2/3-(pyridin-4-ylmethyl)-2-thioxo-1,3-thiazolidin-4-one
- 147029-05-8/3-Pyridinecarboxylicacid,[(3S,4S,5S,5aS,6S,9R,9aS)-4-(acetyloxy)-5-(benzoyloxy)octahydro-2,2,9-trimethyl-6-(2-methyl-1-oxopropoxy)-5aH-3,9a-methano-1-benzoxepin-5a-yl]methylester (9CI)
- 63992-18-7/Piperidinium,1,1'-(thiodi-2,1-ethanediyl)bis[1-methyl-, dichloride (9CI)
- 90094-63-6/[ethane-1,2-diylbis(1H-indole-5,3-diyl)]bis(N,N,N-trimethylmethanaminium) diiodide
- 7439-99-8/Neptunium
- 95371-15-6/Sage, Salvia lavandulifolia hispanorum, ext.
- 68911-03-5/Greensand, manganese sodium
- 131760-46-8/(2alpha,5beta,7beta,10beta,13alpha)-4,10-bis(acetyloxy)-13-{[(2R)-3-(benzoylamino)-2-hydroxypropanoyl]oxy}-1,7-dihydroxy-9-oxo-5,20-epoxytax-11-en-2-yl benzoate
- 34971-18-1/2-(4-chlorophenyl)-N,N-diethyl-5-oxotetrahydrofuran-2-carboxamide
- 130689-95-1/1,1'-Biphenyl,2,3',4,4',5'-pentachloro-3-methoxy-
- 56501-30-5/1-dodecyl-1-ethylpiperidinium
- 104855-81-4/5,12-Naphthacenedione,8-ethyl-7,8,9,10-tetrahydro-1,6,8,11-tetrahydroxy-10-[[2,3,6-trideoxy-4-O-[2,6-dideoxy-4-O-[(2S,5S,6S)-tetrahydro-5-hydroxy-6-methyl-2H-pyran-2-yl]-a-L-lyxo-hexopyranosyl]-3-(dimethylamino)-a-L-lyxo-hexopyranosyl]oxy]-,(8S,10S)- (9CI)
- 147363-86-8/1-Oxa-4-azacyclopentadec-10-en-15-one,5-ethyl-, (5S,10Z)-
