pBC 264(125236-85-3)
- Name: pBC 264
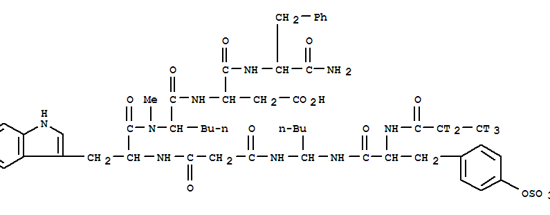
- Synonyms:[3H]-PBC-264;(3S)-4-[[(2S)-1-[[(2S)-3-(1H-indol-3-yl)-2-[[2-oxo-3-[[(1S)-1-[[(2S)-2-(2,2,3,3,3-pentatritiopropanoylamino)-3-(4-sulf;(3S)-4-[[(2S)-1-[[(2S)-3-(1H-indol-3-yl)-2-[[2-oxo-3-[[(1R)-1-[[(2S)-2-(2,2,3,3,3-pentatritiopropanoylamino)-3-(4-sulfooxyphenyl)propanoyl]amino]pentyl]amino]propanoyl]amino]propanoyl]amino]-1-oxo-3-phenylpropan-2-yl]amino]-3-[[(2S)-2-(methylamino)hexanoyl]amino]-4-oxobutanoic acid;Pbc 264;2,3-Propionyl-tyr(SO3H)-gnle-mgly-trp-(Me)nle-asp-phenh2;
- Molecular Formula:C51H62 N9 O14 S T5
- Molecular Weight:1072.2351
- CAS Registry Number:125236-85-3
- EINECS:
- Melting Point:
- Water Solubility:
 
	   Other Product
- 13569-32-9/Dichlorosilylene
- 10485-20-8/Streptamine,N-(aminoiminomethyl)- (9CI)
- 149291-61-2/CRES protein
- 38492-84-1/1,3-Dichloro-6-(trifluoromethyl)phenanthren-9-carboxaldehyde
- 55837-26-8/Fenperate
- 7696-86-8/N-(1-chloropropan-2-ylideneamino)-2-phenyl-acetamide
- 167648-75-1/Phenanthridinium,3,8-diamino-5-hexyl-6-phenyl-
- 67195-69-1/(3-ethyl-7-hydroxy-2-methyl-4-oxo-4H-chromen-8-yl)-N,N-dimethylmethanaminium chloride
- 90705-15-0/Estra-1,3,5(10)-triene-3,17-diol,11-[4- (dimethylamino)phenyl]-17-(1-propynyl)-,(11â,17â)-
- 50353-47-4/3-Phenyllactonitrile
- 156127-31-0/Dicyclopenta[a,f]naphthalene-1-carboxylicacid,1,2,3,3a,4,5,5a,6,7,8,8a,9,10,10a-tetradecahydro-1,3a,5a,8a-tetramethyl-6-[(1S)-1-methyl-2-(4-methyl-2-furanyl)-2-oxoethyl]-,(1R,3aS,5aR,6R,8aR,10aR)-
- 6178-77-4/N~2~-(4-chlorophenyl)-N-(3,4-dimethoxyphenyl)-N~2~-[(4-methylphenyl)sulfonyl]glycinamide
- 14028-14-9/hexyl 2-hydroxy-4-{[3-(piperidin-1-yl)propanoyl]amino}benzoate hydrochloride (1:1)
- 10196-13-1/4-[[4-[[4-(2-hydroxyethoxy)phenyl]azo]-2-methoxy-5-methylphenyl]azo]phenol
- 141389-01-7/9-{[(2R)-2-(methoxymethyl)pyrrolidin-1-yl]carbonyl}-7-phenylthieno[2,3-a]indolizin-6(4H)-one
- 90028-50-5/Eucalyptus odorata, ext.
- 25727-52-0/Spiro[4,7-ethenoisobenzofuran-5(4H),2'(3'H)-furan]-1,3-dione,3a,6,7,7a-tetrahydro-
- 79719-31-6/2,4(1H,3H)-Pyrimidinedione, 3-(hydroxymethyl)-1-methyl-
- 58514-30-0/(1S)-1-(β-D-Glucopyranosyloxy)-1,4aα,5,6,7,7aα-hexahydro-7α-hydroxy-7-methylcyclopenta[c]pyran-4-carbaldehyde
- 125236-85-3/pBC 264
- 3567-16-6/[2,2,2-trichloro-1,1-bis(4-chlorophenyl)ethyl] acetate
- 34073-46-6/methyl (2-hydroxyphenyl)(oxo)acetate
- 23640-00-8/Tetrahydro-5H-1,4-oxathiepin
- 52523-53-2/2-Amino-4-hexynoic acid
- 6150-78-3/N-(4-butoxyphenyl)-2-(2,4-dimethylphenoxy)acetamide
- 77844-52-1/17,21-Cyclocholestane
- 53112-38-2/Hydrazinecarboxamide,2-[(5-nitro-2-furanyl)- methylene]-,mixt. with 2-(diethylamino)-N-(2,4,6-trimethylphenyl)- acetamide
- 149338-13-6/Benzo(b)thiophen-3-amine, 2-nitro-N-(3-(trifluoromethyl)phenyl)-
- 3558-61-0/METHOXY-PHENYL-ACETIC ACID METHYL ESTER
- 64285-39-8/Benzothiazolium,6-methyl-2-[5-[6-methyl-3-(3-sulfopropyl)-2(3H)-benzothiazolylidene]-1,3-pentadien-1-yl]-3-(3-sulfopropyl)-,inner salt, sodium salt (1:1)

 
               
       