onnamide(115204-07-4)
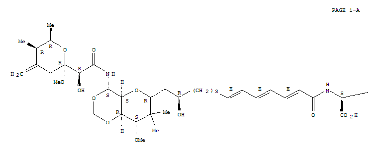
- Name: onnamide
- Synonyms:L-Arginine,N2-[(2E,4E,6E,11R)-12-[(4S,4aS,6R,8S,8aR)-hexahydro-4-[[(2S)-hydroxy[(2R,5R,6R)-tetrahydro-2-methoxy-5,6-dimethyl-4-methylene-2H-pyran-2-yl]acetyl]amino]-8-methoxy-7,7-dimethylpyrano[3,2-d]-1,3-dioxin-6-yl]-11-hydroxy-1-oxo-2,4,6-dodecatrienyl]-(9CI); L-Arginine,N2-[12-[hexahydro-4-[[hydroxy(tetrahydro-2-methoxy-5,6-dimethyl-4-methylene-2H-pyran-2-yl)acetyl]amino]-8-methoxy-7,7-dimethylpyrano[3,2-d]-1,3-dioxin-6-yl]-11-hydroxy-1-oxo-2,4,6-dodecatrienyl]-,[4S-[4a[R*(2S*,5S*,6S*)],4aa,6a(2E,4E,6E,11S*),8a,8aa]]-; Pyrano[3,2-d]-1,3-dioxin, L-arginine deriv.; Onnamide A
- Molecular Formula:C39H63 N5 O12
- Molecular Weight:793.94
- CAS Registry Number:115204-07-4
- EINECS:
- Melting Point:
- Water Solubility:
Other Product
- 60786-59-6/CYS-TYR-ILE-THR-ASN-CYS-GLY-LEU-GLY-NH2
- 75908-85-9/2-[(2-cyanoethyl)[4-[(4-nitrophenyl)azo]phenyl]amino]ethyl isobutyrate
- 879-37-8/3-Indoleacetamide
- 94232-98-1/Chromate(2-), (3-hydroxy-4-((2-hydroxy-1-naphthalenyl)azo)-7-nitro-1-naphthalenesulfonato(3-))(2-((2-hydroxy-5-nitrophenyl)azo)-4-methyl-1-naphthalenolato(2-))-, disodium
- 3308-28-9/2-[2-(4-ethoxyphenoxy)-1H-benzimidazol-1-yl]-N,N-diethylethanamine
- 73287-38-4/2-Anthracenesulfonic acid, 4-3-(acetylamino)phenylamino-1-amino-9,10-dihydro-9,10-dioxo-, compd. with .alpha.,.alpha.,.alpha.-(nitrilotri-2,1-ethanediyl)tris.omega.-hydroxypoly(oxy-1,2-ethanediyl) (1:1)
- 528-46-1/phthalonic acid
- 17692-28-3/Clonazoline
- 68153-75-3/Glycerides, C16-18, C35 and C18-unsatd.
- 40958-31-4/dihydrosomatostatin
- 55371-84-1/4-Iodo-N-(4,5-dihydro-4-methyl-2-sulfamoyl-1,3,4-thiadiazol-5-ylidene)benzamide
- 97416-92-7/Tetrahydrogen (3-((8-((4-chloro-6-(o-toluidino)-1,3,5-triazin-2-yl)amino)-1-hydroxy-3,6-disulpho-2-naphthyl)azo)-4-hydroxynaphthalene-1,5-disulphonato(6-))cuprate(4-)
- 215178-37-3/Depressoside B
- 1461-03-6/himachalene
- 80997-81-5/Poly-karaya
- 2964-06-9/5-ethyl-5-(1,3-dimethylbutyl)-5-barbituric acid
- 64644-56-0/Cycloamanide C (9CI)
- 195734-59-9/ManateeThis heading is used only when the specific taxonomycannot be established from the original documentManauealide A
- 71857-97-1/N-[2-(4-nitrophenyl)phenyl]acetamide
- 115204-07-4/onnamide
- 17750-90-2/(14E,24E)-5,6,9,17,19,21-hexahydroxy-23-methoxy-2,4,12,16,18,20,22-heptamethyl-2,7-(epoxypentadeca[1,11,13]trienoimino)naphtho[2,1-b]furan-1,11(2H)-dione
- 56778-64-4/2-Nitropyridine
- 6560-83-4/2-IODOQUINOLINE
- 75066-30-7/2-methoxyethyl 2-hydroxypropanoate
- 8075-87-4/Butanedioic acid,[(dimethoxyphosphinothioyl)- thio]-,diethyl ester,mixt. with O,O-diethyl O-(4-nitrophenyl) phosphorothioate
- 104604-66-2/10-chloro-1-{[(2R)-2-(hydroxymethyl)pyrrolidin-1-yl]carbonyl}-3-phenyl-4H-pyrido[2,1-a]isoquinolin-4-one
- 72986-89-1/Chromate(3-), bis(3-(hydroxy-kappaO)-4-((2-(hydroxy-kappaO)-1-naphthalenyl)azo-kappaN1)-7-nitro-1-naphthalenesulfonato(3-))-, trihydrogen, compd. with 2,2-iminobis(ethanol) (1:3)
- 62124-64-5/N-(2-BUTYL)BUTANAMIDE
- 1737-93-5/3,5-Dichloro-2,4,6-trifluoropyridine
- 51248-35-2/4-isobutyloxazolidine-2,5-dione
