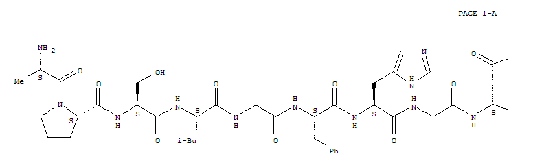
locustatachykinin IV(132309-71-8)
- Name: locustatachykinin IV
- Synonyms:LocustatachykininIV; Lom-TK IV
- Molecular Formula:C47H74 N16 O11
- Molecular Weight:1039.19
- CAS Registry Number:132309-71-8
- EINECS:
- Melting Point:
- Water Solubility:
Other Product
- 51555-38-5/sodium 2-(acryloylamino)-2-methylpropane-1-sulfonate - prop-2-enenitrile (1:1)
- 55638-50-1/(3Z,5Z)-2,2-Dimethyl-3,5-decadiene
- 20475-74-5/13,28-Epoxy-3β-hydroxy-30,30-dimethoxyoleanan-16-one
- 94266-24-7/methyl 2-(aminothio)benzoate
- 30452-63-2/Pregn-5-en-18-oic acid,3-(dimethylamino)-2,20-dihydroxy-, g-lactone, (2a,3b,20S)- (9CI)
- 117806-54-9/lithium 1,1,2,2,3,3,4,4,5,5,6,6,7,7,7-pentadecafluoroheptane-1-sulfonate
- 139-61-7/P-CYCLOHEXYLOXYBENZOIC ACID
- 5466-06-8/Ethyl 3-mercaptopropionate
- 71172-17-3/isophthalic acid, compound with dimethylamine (1:1)
- 17593-70-3/chromium acetate
- 6408-27-1/Chromate(3-),bis[3-[[4,5-dihydro-3-methyl-5-(oxo-kO)-1-phenyl-1H-pyrazol-4-yl]azo-kN1]-4-(hydroxy-kO)-5-nitrobenzenesulfonato(3-)]-,disodium hydrogen (9CI)
- 54152-95-3/N-[1-methyl-2-(3-methylazepan-1-yl)ethyl]-N-pyridin-2-ylpropanamide
- 126019-82-7/Phenol, 2(or 4)-C9-10-branched alkyl derivs., phosphorothioates (3:1)
- 38025-74-0/6-hydroxy-2-methyl-2-azabicyclo[2.2.2]octan-3-one
- 68444-26-8/Poly(oxy-1,2-ethanediyl), alpha,alpha-(1,1,4,4-tetramethyl-1,4-butanediyl)bis(omega-hydroxy-
- 60135-23-1/1-hydroxy-7-methoxy-1,5-dimethyl-3-(propan-2-yl)naphthalen-2(1H)-one
- 96062-89-4/N-(3-dimethylaminopropyl)-2-(2-methoxy-4-prop-2-enyl-phenoxy)-2-methyl -propanamide
- 64589-81-7/3-(3,4-dimethylphenyl)-5-(hydroxymethyl)-1,3-oxazolidin-2-one
- 621-14-7/DIPHENYL SUCCINATE
- 132309-71-8/locustatachykinin IV
- 50641-13-9/3006-10-8
- 102583-46-0/(2S)-1-[(2S)-2-[[(2S)-2-[[(2R)-2-[[(2S)-2-[[(2S)-2-[[(2R)-2-[[(2R)-2-[[(2R)-2-acetamido-3-(2-naphthyl)propanoyl]amino]-3-(4-chlorophenyl)propanoyl]amino]-3-(1H-indol-3-yl)propanoyl]amino]-3-hydroxy-propanoyl]amino]-3-(4-hydroxyphenyl)propanoyl]amino]-6-[(
- 5459-79-0/N,N-dibenzyl-4-methylaniline
- 5440-23-3/N-(1-Acetyl-2-Oxopropyl) Acetamide
- 156765-36-5/Phenanthro[1,2-c]furan-1(3H)-one,7-ethenyl-3b,4,5,5a,6,7,8,9,9a,9b,10,11-dodecahydro-5a-hydroxy-7,9b-dimethyl-,(3bR,5aR,7S,9aR,9bS)- (9CI)
- 25828-70-0/1,3-Benzenedicarboxamide,N1,N3-bis(2,5-dichlorophenyl)-4-hydroxy-
- 34063-06-4/2H-Pyrrolium,5-(2-carboxyphenyl)-3,4- dihydro-1-methyl-,inner salt
- 37592-89-5/4,4'-DIHEPTYLAZOXYBENZENE
- 109644-01-1/N-(1,1-dimethyldecyl)-2-morpholin-4-ylacetamide hydrochloride
- 71079-27-1/2-cyclohexyl-1-(3-methylisothiazol-5-yl)-3-(2-methylquinolin-4-yl)guanidine
