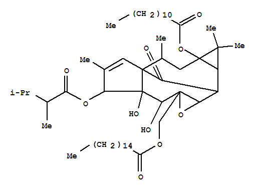
kansuiphorin B(135928-39-1)
- Name: kansuiphorin B
- Synonyms:Hexadecanoicacid,[8-(2,3-dimethyl-1-oxobutoxy)-1a,2,2a,3a,4,5,8a,9-octahydro-8a,9-dihydroxy-3,3,5,7-tetramethyl-10-oxo-3a-[(1-oxododecyl)oxy]-3H-2,5a-methanocyclopenta[4,5]cyclopropa[8,9]cyclodec[1,2-b]oxiren-9a(8H)-yl]methylester (9CI);3H-2,5a-Methanocyclopenta[4,5]cyclopropa[8,9]cyclodec[1,2-b]oxirene,hexadecanoic acid deriv.; Kansuiphorin B
- Molecular Formula:C54H90 O10
- Molecular Weight:899.29
- CAS Registry Number:135928-39-1
- EINECS:
- Melting Point:
- Water Solubility:
Other Product
- 129317-89-1/b-D-Glucopyranoside, (15b)-15-hydroxykaur-16-en-20-yl,2-acetate (9CI)
- 68609-75-6/68133-63-1
- 3095-79-2/Acetamide,2,2'-dithiobis[N-phenyl-
- 46728-71-6/5-Sulfoisophthalic acid 5-potassium salt
- 19056-03-2/1-propyl-6-{[4-({4-[(1-propylquinolinium-6-yl)carbamoyl]benzoyl}amino)benzoyl]amino}quinolinium bis(4-methylbenzenesulfonate)
- 148435-06-7/Peptide TAP
- 70499-13-7/7-CHLORO-2-METHYL-4(1H)-QUINOLINONE
- 12773-90-9/Nickel alloy,base,Ni,Al,C,Co,Cr,Mo,Ta,Ti,W,Zr (MAR-M246)
- 87869-00-9/Emethacin B
- 2371-27-9/(2-FLUORO-PHENYLAMINO)-ACETIC ACID HYDRAZIDE
- 39156-78-0/IMINODIACETIC ACID HYDROXAMATE
- 17368-73-9/N-ACETYL-2-CHLORO-ACETAMIDE
- 35038-32-5/methyl (2S-trans)-13-ethyl-2,3-dihydro-18-(methoxycarbonyl)-20-(2-methoxy-2-oxoethyl)-3,7,12,17-tetramethyl-8-vinyl-21H,23H-porphine-2-propionate
- 148591-67-7/vitelline protein B1
- 93942-34-8/2-cyano-3-(diphenylamino)acrylamide
- 4186-67-8/TRIETHYLPROPYLAMMONIUM IODIDE
- 68130-20-1/Corn starch phthalate
- 425-99-0/2,2-DIFLUOROMALONAMIDE
- 16407-55-9/N-ALLYLBENZOTHIAZOLIUM BROMIDE
- 135928-39-1/kansuiphorin B
- 26050-60-2/1,3-Benzenediol,5,5'-(1,14-tetradecanediyl)bis-
- 56317-19-2/6-(6-Deoxy-α-L-mannopyranosyl)-5-hydroxy-7-methoxy-3-(4-methoxyphenyl)-4H-1-benzopyran-4-one
- 17866-84-1/TEREPHTHALBIS(4-FLUOROANILINE)
- 120465-94-3/3-ethyl-9,9-dimethyl-7-(thiophen-2-ylsulfonyl)-3,7-diazabicyclo[3.3.1]nonane
- 1327-63-5/C.I. SolubilisedSulphur Blue 10 (8CI,9CI)
- 1320-92-9/cystine - iodine (1:1)
- 41429-61-2/Spiro[cycloprop[a]indene-1(1aH),4'-[4H]indene],1'-[(1R)-1,5-dimethylhexyl]hexadecahydro-7'a-methyl-, (1'R,1bR,3'aR,7'aR)-(9CI)
- 76216-15-4/1H-Chryseno[2,1-b]pyran,eicosahydro-1,2,4a,6a,6b,9,9,12a-octamethyl-,(1S,2S,4aR,6aR,6bR,8aS,12aS,12bR,14aR,14bS)-
- 6294-03-7/4-{[2-(2,4-dichlorophenoxy)propanoyl]amino}benzoic acid
- 91789-70-7/N-[6-amino-2-(methylsulfanyl)-4-oxo-1,4-dihydropyrimidin-5-yl]benzenesulfonamide
