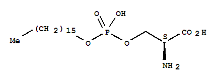
hexadecylphosphoserine(133321-35-4)
- Name: hexadecylphosphoserine
- Synonyms:O-(Hexadecylphosphono)-L-serine
- Molecular Formula:C19H40 N O6 P
- Molecular Weight:409.5
- CAS Registry Number:133321-35-4
- EINECS:
- Melting Point:
- Water Solubility:
Other Product
- 94386-47-7/disodium 3-[[4-(acetylamino)phenyl]azo]-4-amino-5-hydroxy-6-(phenylazo)naphthalene-2,7-disulphonate
- 52153-09-0/L-GLUCONO-1,5-LACTONE
- 79306-90-4/Piptolepolide
- 118546-27-3/1H-3-Benzazepin-7-ol,8-chloro-2,3,4,5-tetrahydro-3-methyl-5-(4-methylphenyl)-
- 18951-46-7/4-[(E)-2-(4-chlorophenyl)ethenyl]phenol
- 4751-84-2/(E)-amino-N-carbamimidoyl{[4-(ethylcarbamoyl)phenyl]imino}methanaminium chloride
- 57232-98-1/N-[[4-[(1-amino-9,10-dihydro-4-hydroxy-9,10-dioxo-2-anthryl)oxy]phenyl]methyl]-2-chloroacetamide
- 9074-83-3/Novozymes protease
- 21018-32-6/2-Thiazoline-2-carbamic acid, 5,5-dimethyl-, ethyl ester (8CI)
- 60454-63-9/Bismuth,[í-[carbonato(2-)-O:O']]dioxodi-,mixt. with albumin tannate,4-amino-N-(aminoiminomethyl)- benzenesulfonamide,belladonna tincture and 5,7-diiodo-8-quinolinol
- 90348-64-4/(4-chlorophenyl) 3-chloropropanoate
- 5171-84-6/N,N,N',N'-TETRAMETHYL-1,6-HEXANEDIAMINE
- 40494-49-3/N,N-dimethyl-2-{[(5E)-6,7,8,9-tetrahydro-5H-benzo[7]annulen-5-ylideneamino]oxy}ethanamine hydrochloride (1:1)
- 73664-51-4/2-Chloro-4-(dimethylamino)benzaldehyde oxime
- 24425-13-6/2-TERT-BUTYLBENZIMIDAZOLE
- 133321-35-4/hexadecylphosphoserine
- 110559-01-8/Gibb-8-ene-1,10-dicarboxylicacid, 2,4,4a-trihydroxy-1,8-dimethyl-, 1,4a-lactone, (1a,2b,4a,4aa,4bb,10b)- (9CI)
- 14417-51-7/MANNOBIOSE
- 73826-41-2/1-(4-ethoxyphenyl)-3-(morpholin-4-yl)propan-1-one
- 30251-61-7/1-[4-(propan-2-yl)benzylidene]-1H-indene
- 67800-14-0/3-(4-Fluorophenyl)indan-1-one
- 5302-77-2/6-methoxynaphthalen-1-amine
- 29007-63-4/7-Nitro-8-quinolyl=2,5-dimethoxybenzoate
- 21251-69-4/1(3H)-Isobenzofuranimine
- 6307-03-5/2-{2-[4-(dimethylamino)phenyl]ethenyl}-1,3,3-trimethyl-3H-indolium
- 6276-36-4/S-{2-[(2-chloroethyl)sulfanyl]ethyl} 2-ethylbutanethioate
- 16076-17-8/1,2,3,4,5,6-hexamethylbicyclo[2.2.0]hex-5-ene-2,3-diol
- 9024-14-0/Lyase,polyglucuronide
- 106521-51-1/N-{4-[(4-chloroacridin-9-yl)amino]-3-(dimethylamino)phenyl}methanesulfonamide
- 91722-12-2/Slimes and Sludges, chlorine manuf. mercury cell brine treatment wastewater
