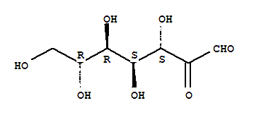
heptos-2-ulose(27638-93-3)
- Name: heptos-2-ulose
- Synonyms:NSC 121916
- Molecular Formula:C7H12 O7
- Molecular Weight:208.166
- CAS Registry Number:27638-93-3
- EINECS:
- Melting Point:
- Water Solubility:
Other Product
- 108260-29-3/3-aziridin-1-yl-1-(4-chlorophenyl)-4-oxo-4-pyrrolidin-1-ylbutan-1-one
- 49761-68-4/LHRH, Phe(7)-
- 28321-37-1/N-cyclohexyl-6-pyridin-3-yl-1,3,5-triazine-2,4-diamine
- 85344-33-8/(1alpha,4aalpha,4bbeta,10beta)-10-formyl-7-hydroxy-1,4a-dimethyl-8-methylidenegibbane-1-carboxylic acid
- 74639-28-4/2-hexadecylisoquinolinium
- 14028-90-1/(6α)-2,3,8β,10,11-Pentamethoxy-16-methylrheadan
- 68919-22-2/Lactobacillus caucasicus
- 5897-32-5/2-(pyrrolidin-1-yl)ethyl cyclopent-2-en-1-yl(phenyl)acetate 2-hydroxypropane-1,2,3-tricarboxylate (1:1)
- 14714-89-7/N6-[(E)-3,7-Dimethyl-2,6-octadienyl]adenine
- 165657-81-8/4-isopropyl-3-propionyl-2-oxazolidinone
- 32674-72-9/4-[Methoxy(methyl)phosphinyl]-2,2,4-trimethyl-3-oxovaleric acid methyl ester
- 107810-09-3/pyroglutamyl-((N3)-imidazolylmethyl)-histidyl-n-amylprolinamide
- 119765-94-5/4aH-3,8a-Methanooxireno[d][1]benzoxepin,7-bromo-6-chlorooctahydro-6,8b,9,9-tetramethyl-, (1aS,3S,4aR,6S,7S,8aR,8bR)-
- 129664-11-5/2-(4-methylpiperazin-1-yl)-4-(2-phenylethoxy)quinazoline (2E)-but-2-enedioate
- 6323-92-8/2-propylheptyl 4-methoxybenzoate
- 27638-93-3/heptos-2-ulose
- 1785-27-9/2,4,7-trichloro-9H-fluoren-9-one
- 30236-32-9/Dexsotalol
- 37118-71-1/3,4-diphenylquinolin-2(1H)-one
- 9033-00-5/Glutamic-ketoadipic transaminase
- 74710-78-4/3-(1-methyl-4,5-dihydro-3H-pyrrol-5-yl)pyridine
- 6319-48-8/octan-2-yl carbamate
- 38627-30-4/3β,8,14β-Trihydroxy-12β-[(1-oxo-3-phenyl-2-propenyl)oxy]pregn-5-en-20-one
- 38920-49-9/2-[[4-[2-(1,1-Dimethylethyl)-4-methylphenoxy]butyl]amino]ethanethiol sulfate
- 99834-90-9/methyl {4-[(5-propanoylfuran-2-yl)oxy]phenyl}acetate
- 20800-07-1/1-{2-[2-(morpholin-4-yl)ethoxy]phenyl}pentan-1-one hydrochloride (1:1)
- 87046-64-8/4-[4-(4-oxopentan-2-ylideneamino)butylimino]pentan-2-one
- 108428-42-8/2-amino-1-hydroxycyclobutane-1-acetic acid
- 134985-05-0/Stigmast-4-ene-6,8,15,16,26-pentol,3-[(2-Omethyl- â-D-xylopyranosyl)oxy]-,(3â,6â,15R,- 16â,24ê)-
- 13052-13-6/[2-hydroxy-3-[(1-oxoallyl)oxy]propyl]trimethylammonium chloride
