guanylin(140653-38-9)
- Name: guanylin
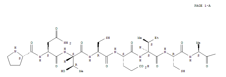
- Synonyms:10: PN:WO2004071436 SEQID: 6 claimed sequence; 113: PN: WO2008002971 PAGE: 1/5 unclaimedsequence; 1: PN: WO02079235 PAGE: 27 unclaimed sequence; 42: PN: US20060094658SEQID: 42 claimed protein; 559: PN: WO0069900 SEQID: 1248 unclaimed sequence;780: PN: WO2006102069 FIGURE: 5 unclaimed sequence; 809: PN: WO2006102069FIGURE: 6 claimed sequence; 832: PN: WO2005074575 FIGURE: 5 unclaimed sequence;8: PN: WO2006001931 SEQID: 6 unclaimed sequence; 985: PN: US20090175821 SEQID:1248 claimed protein; 99: PN: WO2005016244 PAGE: 25 unclaimed sequence;Guanylin (Notomys alexis); Guanylin (mouse reduced); Guanylin (synthetic cloneWO2006/1020609-SEQID-62); L-Cysteine,L-prolyl-L-asparaginyl-L-threonyl-L-cysteinyl-L-a-glutamyl-L-isoleucyl-L-cysteinyl-L-alanyl-L-tyrosyl-L-alanyl-L-alanyl-L-cysteinyl-L-threonylglycyl-;PN: US5962220 SEQID: 6 claimed protein
- Molecular Formula:C60H94 N16 O22 S4
- Molecular Weight:0
- CAS Registry Number:140653-38-9
- EINECS:
- Melting Point:
- Water Solubility:
Other Product
- 116302-35-3/11H-8,13a-Methanopyrrolo[4',3',2':4,5]quino[7,8-d][1,3]benzothiazepine-6,11(5H)-dione,12-bromo-7,8,9a,10-tetrahydro-, (8S,9aR,13aS)-
- 6926-29-0/Octanenitrile,7,7-dimethyl-5-methylene-
- 95321-60-1/Hydroxydicyclopentadiene, maleic anhydride, polybutadiene glycol polymer
- 137951-92-9/YGL021 protein
- 16413-03-9/4-Oxa-8,12-diazatrispiro[2.1.2.1.2.1]dodecane(8CI,9CI)
- 31952-91-7/L-HOMOCARNOSINE SULFATE
- 64639-90-3/N-{[5-(3,4-dichlorophenyl)-1,3-oxazol-2-yl]methyl}ethanamine hydrochloride
- 91911-16-9/5-(4-bromophenyl)-5-ethyl-3-(2-hydroxyethyl)imidazolidine-2,4-dione
- 124420-72-0/3-PYRIDAZINECARBONITRILE, 6-CHLORO-4-(1,1-DIMETHYLETHYL)-
- 5738-60-3/(4E)-2-(4-methylphenyl)-4-[3-nitro-4-(propan-2-yl)benzylidene]-1,3-oxazol-5(4H)-one
- 88-91-5/4-CHLORO-3,5-DINITROBENZENESULFONIC ACID
- 59766-99-3/N6-(1-oxodecyl)-L-lysine
- 30798-94-8/N,N-Dipropyl-4-tridecyloxynaphthamidine hydrochloride
- 5369-63-1/ethyl 3,3-dimethyloxirane-2-carboxylate
- 152378-24-0/2-Butenoic acid,3-methyl-,(9S,10S)-9,10-dihydro-10-hydroxy-8,8-dimethyl-2-oxo-2H,8H-benzo[1,2-b:3,4-b']dipyran-9-ylester (9CI)
- 96690-75-4/Sulfuric acid, mono-C12-14-alkyl esters, ammonium salts, compds. with triethanolamine
- 70547-12-5/2-benzyl-8-chloro-3-methyl-4-phenyl-1,2,3,4-tetrahydro[1]benzothieno[3,2-c]pyridine methanesulfonate
- 22892-39-3/2-phenyl-4-(2,4,5-trimethoxybenzylidene)-1,3-oxazol-5(4H)-one
- 78613-02-2/2-(1,2-diphenylethyl)-5-phenyl-1,3,4-oxadiazole
- 140653-38-9/guanylin
- 6308-57-2/diiodo-(3-nitrophenyl)arsane
- 129-68-0/Aceanthryleno[2,1-a]aceanthrylene-5,13-dione
- 123209-64-3/Soybean oil, polymer with benzoic acid, bisphenol A, p-tert-butylphenol, formaldehyde, glycerol, isophthalic acid and pentaerythritol
- 62664-75-9/(1Z)-2-propylcyclohexanone semicarbazone
- 214210-14-7/3-BROMO-N-PYRROLIDIN-1-YLBENZENESULPHONAMIDE
- 181045-76-1/FTI 291
- 53570-66-4/Cellulose,esters,nitrate,mixt. with hexahydro-1,3,5-trinitro-1,3,5-triazine and tributyl 2-(acetyloxy)-1,2,3-propanetricarboxylate
- 60047-26-9/2-Hydrazino-3-methylbutanoic acid
- 27026-38-6/Butyl 2-propenoate polymer with ethenyl chloroacetate, ethyl 2-propenoate and 2-methoxyethyl 2-propenoate
- 17687-37-5/uronium nitrate
