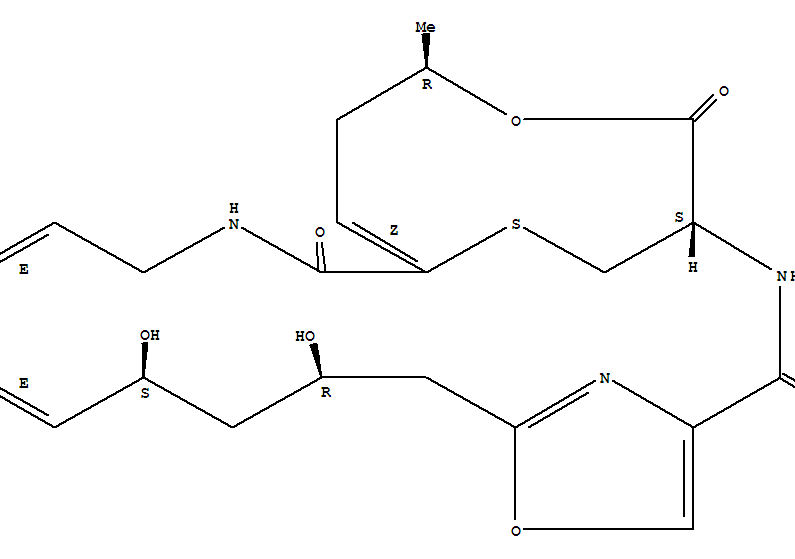
griseoviridin(1393-90-4)
- Name: griseoviridin
- Synonyms:6,23-Dioxa-26-thia-2,17,27-triazatricyclo[17.5.2.14,7]heptacosa-4,7(27),12,14,19-pentaene-3,18,24-trione,9,11-dihydroxy-22-methyl-, [1S-(1R*,9S*,11R*,12E,14E,19Z,22S*)]-; Griseoviridin(6CI); 6,23-Dioxa-26-thia-2,17,27-triazatricyclo[17.5.2.14,7]heptacosane,griseoviridin deriv.; (-)-Griseoviridin; GV;[1S-(1R*,9R*,11R*,12E,14E,19Z,22S*)]-9,11-Dihydroxy-22-methyl-6,23-dioxa-26-thia-2,17,27-triazatricyclo[17.5.2.14,7]heptacosa-4,7(27),12,14,19-pentaene-3,18,24-trione
- Molecular Formula:C22H27 N3 O7 S
- Molecular Weight:477.535
- CAS Registry Number:1393-90-4
- EINECS:
- Melting Point:
- Water Solubility:
Other Product
- 1436-60-8/(1R,2R)-2-AMINO-CYCLOHEXANECARBOXYLIC ACID ETHYL ESTER
- 1423-09-2/1,4-Difluorobenzene
- 1422-98-6/3,5,6-TRICHLOROOCTAFLUOROHEXANOYL CHLORIDE
- 1422-36-2/5,5,5-TRIFLUORO-4-(TRIFLUOROMETHYL)PENT-3-EN-2-ONE, 97% MIN.
- 1422-18-0/2,4-dichloro-6-phenylphenoxyethylamine
- 1415-76-5/SABADILLINE
- 1413-55-4/(4-Isopropyl-1,3-cyclohexadien-1-yl)methanol
- 1407-48-3/ribosome-inactivating protein, Aspergillus
- 1405-94-3/Ephedrine tannate
- 1403-94-7/marcescin
- 1402-60-4/Actinomycin I
- 1400-48-2/phenobarbital quinidine
- 1399-18-4/dryophantin
- 1398-22-7/boldoglucin
- 1393-90-4/griseoviridin
- 1391-72-6/gelsemoidine
- 1389-47-5/3-Hydroxy-2-(hydroxymethyl)-2-[hydroxymethyl(methyl)amino]propanoic acid
- 1359-83-7/Galanthamine, 10-demethyl-, compd. with (3.alpha.,4a.beta.,4b.beta.)-10-demethyl-1,2-dihydrogalanthamine (1:1)
- 1345-13-7/CERIUM OXIDE
- 1344-96-3/CALCIUM SILICATE HYDRATE
- 1344-88-3/BISMUTH SODIUM IODIDE
- 1344-74-7/Copper-zinc chromate complex
- 1342-94-5/Red 33
- 1342-90-1/D & C RED #30 ALUMINUM LAKE)
- 1342-89-8/Red 30
- 1342-88-7/Red 28
- 1342-87-6/Red 27
- 1342-85-4/Red 22
- 1342-82-1/Red 19
- 1342-80-9/Red 17
