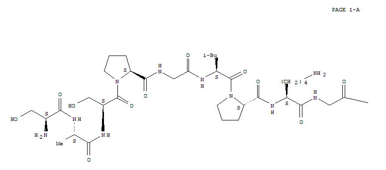
fuctinin(157849-35-9)
- Name: fuctinin
- Synonyms:fuctinin
- Molecular Formula:C101H162 N28 O39
- Molecular Weight:2392.53
- CAS Registry Number:157849-35-9
- EINECS:
- Melting Point:
- Water Solubility:
Other Product
- 78216-32-7/Abn-cbd
- 3483-35-0/3-[2-(diethylamino)ethyl]-1,2,3-oxadiazol-3-ium-5-olate hydrochloride (1:1)
- 97660-02-1/Naphthenic acids, esters with diethanolamine
- 93905-53-4/N-Tallow-1,3-propylenediamine, polymerized fatty acids soap
- 52079-30-8/(2alpha,6alpha,11R*)-(1)-1,2,3,4,5,6-Hexahydro-6,11-dimethyl-2,6-methano-3-benzazocin-8-ol
- 121845-96-3/3-cyclopentyl-2,3-dihydro[1,2,4]triazino[5,6-c]quinoline
- 6006-44-6/1-Propanol,3,3'-(1,3-disiloxanediyl)bis-
- 38235-58-4/(1S-trans)-5-Hydroxy-alpha,alpha,4-trimethylcyclohex-3-ene-1-methanol
- 47155-00-0/1-[4-fluoro-3-(trifluoromethyl)phenyl]-6,6-dimethyl-1,6-dihydro-1,3,5-triazine-2,4-diamine
- 6285-44-5/2-(2,5-dimethylpyrrolidin-1-yl)ethyl 2,6-dimethyl-4-propoxybenzoate
- 30387-41-8/Polymyxin E2,1-[(2S)-2-[(6-methyl-1-oxoheptyl)amino]-4-[(sulfomethyl)amino]butanoicacid]-3-[(2S)-2-amino-4-[(sulfomethyl)amino]butanoicacid]-5-[(2S)-2-amino-4-[(sulfomethyl)amino]butanoicacid]-9-[(2S)-2-amino-4-[(sulfomethyl)amino]butanoic acid]- (9CI)
- 184479-43-4/Olean-12-ene-23,28-dioic acid,3-[(2-O-â-D-glucopyranosyl-â-Dglucopyranosyl) oxy]-2,27-dihydroxy-,28-(O- â-D-galactopyranosyl-(1f4)-O-â-Dxylopyranosyl-( 1f4)-O-6-deoxy-R-Lmannopyranosyl-( 1f2)-4-O-acetyl-6-deoxy- â-D-galactopyranosyl) ester,(2â,3â,4R)-
- 93841-69-1/4-ethyl-2-henicosyl-4,5-dihydrooxazole-4-methanol
- 5808-15-1/1-[(4-bromophenyl)sulfonyl]-4-(3-methylphenyl)piperazine
- 33081-06-0/Nsc24635
- 61326-36-1/4-[4-(3-chlorophenyl)piperazin-1-yl]-2-ethyl-7-fluoro-5H-thieno[2,3-b][1,5]benzodiazepine hydrochloride
- 149090-98-2/2(1H)-Naphthalenone,1-[(2R)-2-(benzoyloxy)-2-[(1R,2S)-2-[(1S)-1-(benzoyloxy)ethyl]-2-hydroxy-1-methyl-5-oxocyclopentyl]ethyl]-6-[(O-b-D-glucopyranosyl-(1®4)-O-2,6-dideoxy-3-O-methyl-a-L-ribo-hexopyranosyl-(1®4)-O-2,6-dideoxy-3-O-methyl-b-D-ribo-hexopyranosyl-(1®4)-2,6-dideoxy-b-D-ribo-hexopyranosyl)oxy]-4a,5,6,7,8,8a-hexahydro-4a-hydroxy-8a-methyl-,(1R,4aR,6S,8aR)- (9CI)
- 17392-22-2/5,8,10,13-Tetraoxaheptadecane
- 68037-22-9/2-Butenedioic acid (2E)-, bis(gamma-omega-perfluoro-C4-20-alkyl) esters, polymers with 1-(ethenyloxy)butanol, ethylene, 1,4-hexadiene and propene
- 157849-35-9/fuctinin
- 73454-84-9/Diethylene glycol bis (butyl carbonate)
- 69629-17-0/(1S,3R)-3-[4-(2-hydroxyethyl)phenyl]cyclohexanol
- 81138-54-7/Alcohols, coco, ethoxylated
- 22932-26-9/3-(4-methoxyphenyl)-8-methyl-8-azabicyclo[3.2.1]octan-3-ol
- 98369-20-1/6H-1,3-Dioxolo[6,7]naphtho[2,3-c]pyran-6-one,5,5a,8,9,9a,10-hexahydro-10-hydroxy-5-(3,4,- 5-trimethoxyphenyl)-,(5R,5aS,9aS,10R)-
- 131463-45-1/ribosomal protein S22
- 5448-46-4/6,7-dimethoxycinnoline-4(1H)-thione
- 102059-18-7/trans-N-(4-(3-Oxo-3-phenyl-1-propenyl)phenyl)acetamide
- 100486-96-2/beta-Alanine, N-(2-aminoethyl)-, polymer with 1,4-butanediol, 1,6-diisocyanatohexane, 1,3-diisocyanatomethylbenzene, 2,2-dimethyl-1,3-propanediol, hexanedioic acid and 1,6-hexanediol
- 570-02-5/2,4,6-Trimethoxybenzoic acid
