factor 390 A(95617-07-5)
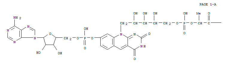
- Name: factor 390 A
- Synonyms:L-Glutamicacid, N-[N-[1-oxo-2-(phosphonooxy)propyl]-L-g-glutamyl]-, P®5-ester with1-[8-(5'-adenylyloxy)-3,4-dihydro-2,4-dioxopyrimido[4,5-b]quinolin-10(2H)-yl]-1-deoxy-D-ribitol,(S)-; Pyrimido[4,5-b]quinoline, L-glutamic acid deriv.; F 390; Factor 390;Factor 390, adenosine-; Factor F 390; Methanogen factor 390
- Molecular Formula:C39H48 N10 O24 P2
- Molecular Weight:1102.81
- CAS Registry Number:95617-07-5
- EINECS:
- Melting Point:
- Water Solubility:
Other Product
- 31021-90-6/Polisteskinin
- 107290-05-1/auranthine
- 152218-43-4/Olean-12-en-28-oicacid, 3-[(O-b-D-glucopyranosyl-(1®3)-O-b-D-ribopyranosyl-(1®3)-O-6-deoxy-a-L-mannopyranosyl-(1®2)-a-L-arabinopyranosyl)oxy]-, (3b)- (9CI)
- 3687-70-5/EULAN
- 130217-23-1/Kauran-18-oic acid,9,11,16,17-tetrahydroxy-15-oxo-, b-D-glucopyranosyl ester, (4a,11b,16a)- (9CI)
- 108790-62-1/2-(4-hydroxyphenyl)-5,7-dimethyl-1,3-diazatricyclo[3.3.1.1~3,7~]decan-6-one
- 132750-56-2/6H-Oxireno[c]oxireno[5',6']benzo[1',2':4,5]cyclodeca[ 1,2-b]furan-1(12aH)-one,7,8,11-tris- (acetyloxy)-2a,5,7,7a,8,9,9a,10a,10b,11- decahydro-4,7a,10a,12a-tetramethyl-,(2aS,- 3Z,7S,7aS,8S,9aR,10aS,10bS,11S,11aS,12aR)-
- 55007-22-2/4-(2-METHOXY-5-METHYL-PHENYL)-4-OXO-BUTYRIC ACID
- 93859-40-6/2-[(4-amino-3,5-diethylphenyl)methyl]-4-[(4-aminophenyl)methyl]aniline
- 37067-30-4/4-METHYLUMBELLIFERYL-N-ACETYL-BETA-D-GLUCOSAMINIDE
- 85631-56-7/Titanium, iso-Pr alc. 1-octanol complexes
- 84006-29-1/1-Methyl-2-((1-oxo-3-phenyl-2-propenyl)oxy)propyl hexanoate
- 133073-87-7/BIM 23051
- 63884-23-1/Piperidinium,1,1'-[[1,1'-biphenyl]-4,4'-diylbis(1-oxo-2,1-ethanediyl)]bis[1-methyl-4-oxo-,dibromide (9CI)
- 123991-00-4/Octadecanoic acid,(4-hydroxyphenyl)-, dodecyl ester (9CI)
- 59387-55-2/2-chloro-N-hydroxy-N,N-diphenyl-benzenecarboximidamide
- 202659-56-1/4H-1-Benzopyran-4-one,3-(1,3-benzodioxol- 5-yl)-7-[[(2E,5E)-7-hydroxy-3,7-dimethyl- 2,5-octadienyl]oxy]-6-methoxy-
- 13007-85-7/SODIUM GLUCOHEPTONATE
- 6330-50-3/1,1-di(naphthalen-2-yl)hydrazine
- 95617-07-5/factor 390 A
- 96346-16-6/1-(butan-2-yl)-2-methoxybenzene
- 136490-09-0/2-[3,5-bis(trifluoromethyl)phenyl]-4-(methylsulfanyl)-6-phenylpyridine
- 77029-63-1/2-Propenoic acid, 2-methyl-, 2-(dimethylamino)ethyl ester, polymer with dodecyl 2-methyl-2-propenoate and tridecyl 2-methyl-2-propenoate, compd. with dimethyl sulfate
- 111038-61-0/1-(2,3-dihydro-1-benzofuran-5-yl)-3-(dimethylamino)propan-1-one hydrochloride
- 1227-93-6/(3S,6aα,10bα)-Dodecahydro-3,4aβ,7,7,10aβ-pentamethyl-3β-vinyl-1H-naphtho[2,1-b]pyran
- 6709-83-7/Spiro[1,3-dithiolane-2,3'(4'H)-[5,8[3',4']]furano- [15H]cyclopenta[a]phenanthrene]-2'',3''-dione
- 602-27-7/1,4-dimethyl-2,3,5-trinitrobenzene
- 85940-41-6/Merremia tuberosa, ext.
- 89421-53-4/2-[4-methyl-5-oxo-4-(propan-2-yl)-4,5-dihydro-1H-imidazol-2-yl]quinoline-3-carboxylic acid - 3,4-dimethyl-2,6-dinitro-N-(pentan-3-yl)aniline (1:1)
- 112503-60-3/Hexadecanoic acid,11-[(O-6-deoxy-b-D-glucopyranosyl-(1®4)-O-6-deoxy-a-L-mannopyranosyl-(1®2)-O-b-D-glucopyranosyl-(1®2)-6-deoxy-b-D-galactopyranosyl)oxy]-, (11S)- (9CI)
