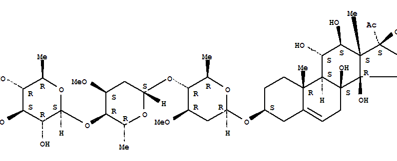
esculentin(131889-89-9)
- Name: esculentin
- Synonyms:Esculentin;Esculentin (Oxystelma)
- Molecular Formula:C42H68 O17
- Molecular Weight:844.98
- CAS Registry Number:131889-89-9
- EINECS:
- Melting Point:
- Water Solubility:
Other Product
- 53786-44-0/ethyl 4-[(4-chloro-2-nitrophenyl)amino]piperidine-1-carboxylate
- 21481-58-3/quaternary ammonium sulfanilamide
- 59034-57-0/3,5-dimethoxy-6-[(2-quinolin-2-ylhydrazino)methylidene]cyclohexa-2,4-dien-1-one
- 26869-99-8/4,8-diamino-9,10-dihydro-1,5-dihydroxy-7-(4-hydroxyphenyl)-9,10-dioxoanthracene-2-sulphonic acid
- 56449-05-9/PPG-6-SORBETH-245
- 120-82-1/1,2,4-Trichlorobenzene
- 56616-91-2/3-bromo-1-methyl-1,2,4-triazole
- 84604-22-8/Willow, Salix fragilis, ext.
- 13813-40-6/TERBIUM IODIDE
- 99304-33-3/2-oxo-1-propanoyl-2,3-dihydro-1H-indol-3-yl propanoate
- 23521-13-3/5-[[p-(Dimethylamino)phenyl]azo]quinoxaline
- 68527-71-9/6-Phenyl-8-quinolinamine
- 83481-69-0/N-methyl-N-(1-methyl-4-pyrrolidino-2-butynyl)acetamide
- 25740-21-0/Stannanecarboxylic acid(8CI,9CI)
- 37338-39-9/sulfadoxine-pyrimethamine
- 81-41-4/1,4-DIAMINO-2,3-DICYANO-9,10-ANTHRAQUINONE
- 4408-70-2/2-(1-phenylhydrazinyl)acetic acid
- 59917-39-4/Vindesine sulfate
- 131889-89-9/esculentin
- 64-86-8/Colchicine
- 146356-76-5/glyceryl trivalproate
- 70216-32-9/5-(3,4-dimethoxyphenyl)-2-phenyl-1,3-oxazole
- 6982-94-1/tris(3,7-dimethyloct-6-enyl)aluminium
- 149992-97-2/2H-3,9a-Methano-1-benzoxepin-4,5,6,10-tetrol,octahydro-2,2,5a,9-tetramethyl-, 10-acetate 5,6-dibenzoate,(3R,4R,5R,5aS,6S,9R,9aS,10R)-
- 68526-76-1/Adipic acid, N-(coconut oil alkyl)trimethylenediamine salt
- 108562-73-8/7-ethyl-3-methyl-1,3-dihydro-2,1-benzoxazole
- 38336-10-6/(TETRAHYDRO-FURAN-2-YLMETHYL)-UREA
- 16676-96-3/(Z)-5-DODECEN-1-YL ACETATE
- 20157-12-4/1-(3,4-Methylenedioxyphenyl)-1-hepten-3-one
- 211988-73-7/Cyclo[(RR)-4-[(4,5-dimethyl-2-furanyl)- methoxy]-R-hydroxybenzenepropanoyl-Nmethyl- L-leucyl-(2R)-2-hydroxypropanoyl- N-methyl-L-leucyl-(RR)-R-hydroxybenzenepropanoyl- N-methyl-L-leucyl-(2R)-2- hydroxypropanoyl-N-methyl-L-leucyl]
