enniatin F(144446-20-8)
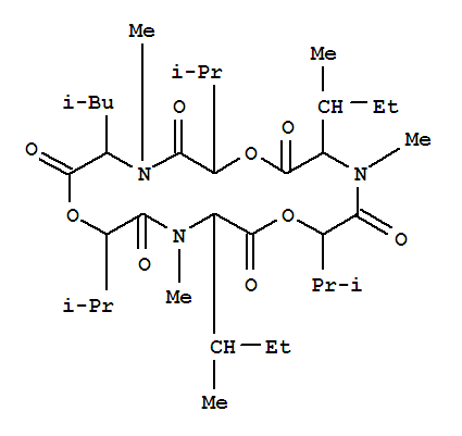
- Name: enniatin F
- Synonyms:EnniatinA2; 1,7,13-Trioxa-4,10,16-triazacyclooctadecane, cyclic peptide deriv.;Cyclo(D-a-hydroxyisovaleryl-N-methyl-L-isoleucyl-D-a-hydroxyisovaleryl-N-methyl-L-isoleucyl-D-a-hydroxyisovaleryl-N-methyl-L-leucyl);Enniatin F
- Molecular Formula:C36H63 N3 O9
- Molecular Weight:681.9
- CAS Registry Number:144446-20-8
- EINECS:
- Melting Point:123-125 °C
- Water Solubility:
Other Product
- 75159-40-9/4(3H)-Quinazolinone, 3-((diethylamino)methyl)-, dihydrochloride
- 29168-74-9/N-[6-chloro-5-(formylamino)pyrimidin-4-yl]-5-O-[(3-chlorophenyl)carbamoyl]-2,3-O-(1-methylethylidene)pentofuranosylamine
- 112-67-4/Palmitoyl chloride
- 142674-37-1/3-[(12,12,13,13,14,14,15,15,15-nonafluoropentadecanoyl)oxy]-4-(trimethylammonio)butanoate
- 165549-80-4/cyclopentyl 2-chloro-5-{[(1-methylethoxy)carbonothioyl]amino}benzoate
- 207453-12-1/Stachybotrin
- 84272-49-1/Cycloasgenin C
- 2984-79-4/(1Z)-3-tert-butoxy-2-chloroprop-1-en-1-yl methyl phenyl phosphate
- 7229-69-8/1,3,4,5-Tetrahydroxy-2-methoxy-7-methyl-9,10-anthracenedione
- 47055-79-8/(2R,3S,5S,6S)-2,3,5,6-tetrahydroxycyclohexane-1,4-diyl bis[dihydrogen (phosphate)]
- 63560-73-6/Phosphorodibromidic acid, methyl ester
- 29317-04-2/Quetol 651
- 139886-32-1/Milameline
- 90762-52-0/1,3,5,7,9,11,13,15,17-Cyclooctadecanonaene,(1E,- 3E,5E,7E,9E,11E,13E,15E,17E)-
- 86627-64-7/2,2-dimethyl-2,3-dihydro-1-benzofuran-7-yl methyl[(propan-2-yloxy)sulfanyl]carbamate
- 144446-20-8/enniatin F
- 6171-09-1/N-(2,5-dimethoxyphenyl)-2-oxo-2-[2-(3-phenylpropylidene)hydrazino]acetamide
- 54333-78-7/SELDOMYCIN 2
- 83444-06-8/2,6-Bis(hydroxyimino)-4-cyclohexene-1,3-dione
- 39412-82-3/MA14
- 63377-12-8/4-(5-ethyl-2-methyl-1,3-dioxa-9-azaspiro[5.5]undec-9-yl)-1-(4-fluorophenyl)butan-1-one ethanedioate
- 88701-54-6/1-(4-{[(Z)-3H-indol-3-ylidenemethyl]amino}phenyl)-3-(2-methylpiperidin-1-yl)propan-1-one
- 1885-91-2/Phosphorothioic acid S-(1,2-dichlorovinyl)O,O-diethyl ester
- 555-45-3/TRIMYRISTIN
- 21447-01-8/2-[cyclopentyl(ethyl)amino]ethyl hydroxy(diphenyl)acetate
- 24405-56-9/(4aS)-4a,5,6,7,8,8a-Hexahydro-4aβ-hydroxy-6α-isopropenyl-4,8aα-dimethylnaphthalene-2(1H)-one
- 65229-08-5/2-ethyl-N-propylhexylamine
- 12606-18-7/Magnesium alloy,base,Mg,Al (Magnox A 12)
- 76049-29-1/1,7,7-trimethyl-2-exo-piperidinobicyclo(2.2.1)heptan-3-endo-ol
- 30657-78-4/Tetradecanoic acid,11-[(O-6-deoxy-a-L-mannopyranosyl-(1®3)-O-6-deoxy-b-D-glucopyranosyl-(1®4)-O-6-deoxy-a-L-mannopyranosyl-(1®6)-O-[6-deoxy-a-L-mannopyranosyl-(1®2)-O-b-D-glucopyranosyl-(1®2)]-b-D-glucopyranosyl)oxy]-3-hydroxy- (8CI,9CI)
