enacyloxin IVa(142386-37-6)
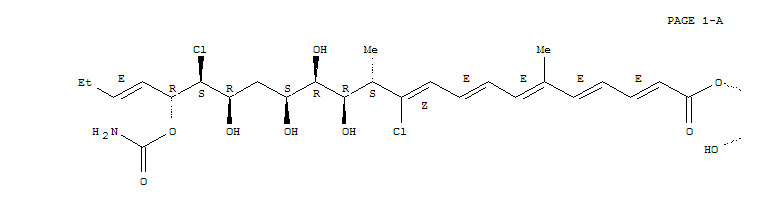
- Name: enacyloxin IVa
- Synonyms:Cyclohexanecarboxylicacid,3-[[19-[(aminocarbonyl)oxy]-11,18-dichloro-13,14,15,17-tetrahydroxy-6,12-dimethyl-1-oxo-2,4,6,8,10,20-tricosahexaenyl]oxy]-4-hydroxy-(9CI); Enacyloxin IVa
- Molecular Formula:C33H47 Cl2 N O11
- Molecular Weight:704.63
- CAS Registry Number:142386-37-6
- EINECS:
- Melting Point:
- Water Solubility:
Other Product
- 36150-56-8/2-(cyclohexylamino)-1-phenylethanone
- 63446-01-5/N,N-diethyl-2-{[(5,6,7-trimethoxy-3-methyl-1-benzofuran-2-yl)carbonyl]oxy}ethanaminium chloride
- 29650-16-6/ethyl 2-amino-6-methyl-4,5,6,7-tetrahydrothieno[2,3-c]pyridine-3-carboxylate hydrochloride (1:1)
- 54278-85-2/Candocuronium
- 832-81-5/3-PHENYL-1,2,3-TRIAZOLO(1,5-A)PYRIDINE
- 18042-54-1/Phenyltriacetoxysilane
- 27809-08-1/2-Propyn-1-ol,3,3'-(methylenedisilylene)bis- (9CI)
- 2218-74-8/1-(4-methoxyphenyl)-6,6-dimethyl-1,6-dihydro-1,3,5-triazine-2,4-diamine
- 682-91-7/Ethylicin
- 18326-01-7/3H-Cyclobuta[a]cyclopent[e]azulene-3,8(3aH)- dione,4,6a,6b,7,8a,9,9a,9b-octahydro-3a,9adihydroxy- 5-(hydroxymethyl)-2,7,7,9-tetramethyl-,(3aR,6aS,6bS,8aS,9R,9aR,9bS)-rel-(- )-
- 56141-00-5/Cambendichlor
- 60781-11-5/8-[(5-nitropyridin-2-yl)amino]-8aH-[1,3]thiazolo[3,2-a]pyridin-3-ol
- 26006-94-0/VMX-S 002
- 15547-17-8/6-ethyl-1,2,3,4-tetrahydroanthraquinone
- 68784-92-9/9,10-dihydro-2-[(p-benzylphenyl)methyl]anthracene
- 5943-30-6/sec-Butyl disulfide
- 9082-66-0/fatty acid ¢6-
- 24645-14-5/3-(3-chloro-4-cyclohexylphenyl)-3-hydroxybutanoic acid
- 142386-37-6/enacyloxin IVa
- 407-41-0/O-Phospho-L-serine
- 79574-11-1/butyl-platonin
- 18853-08-2/(~178~Re)rhenium
- 1084-74-8/3-(2' 5'-DIMETHOXYBENZOYL)PROPIONIC ACI&
- 602-52-8/3,8-diamino-5-ethyl-6-phenylphenanthridinium chloride
- 13110-81-1/2,7-bis(acetylamino)-9H-fluorene-3,6-disulfonic acid
- 7783-57-5/THALLIUM(III) FLUORIDE
- 157918-73-5/1-(6-(4-azido-2,3,5,6-tetrafluorobenzamido)hexyl)-3-cyclohexylcarbodiimide
- 72152-65-9/pentasodium 5-[[2,4-dihydroxy-5-[[4-(6-methylbenzothiazol-2-yl)-3-sulphonatophenyl]azo]phenyl]azo]-4-hydroxy-3-[[3-sulphonato-4-[(4-sulphonatophenyl)azo]phenyl]azo]naphthalene-2,7-disulphonate
- 105503-63-7/Oxygenase,3-carboxyethylcatechol 2,3-di-
- 1122-92-5/4-(methylimino)pyridin-1(4H)-ol
