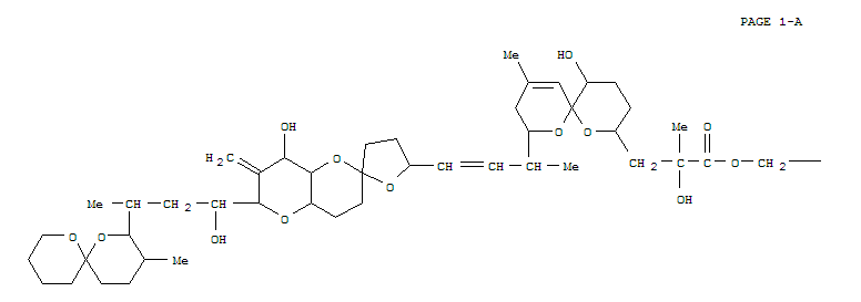
dinophysistoxin 4(162795-98-4)
- Name: dinophysistoxin 4
- Synonyms:Acanthifolicin,9,10-deepithio-9,10-didehydro-,2-methyl-7-[[7,11,13-trihydroxy-1-oxo-9,12,14-tris(sulfooxy)-3-tetradecenyl]oxy]-2,4-heptadienylester; DTX-4; Dinophysistoxin 4
- Molecular Formula:C66H104 O30 S3
- Molecular Weight:1473.71
- CAS Registry Number:162795-98-4
- EINECS:
- Melting Point:
- Water Solubility:
Other Product
- 101012-78-6/ammonium 2-carboxylatopropyl methacrylate
- 17689-77-9/(Triacetoxy)ethylsilane
- 4510-63-8/4-{[3-(2-amino-6-methyl-4-oxo-1,4-dihydropyrimidin-5-yl)propyl]carbamoyl}benzoic acid
- 214916-32-2/[2-(3-chlorobenzyl)-1,1-dioxido-3-oxo-2,3-dihydro-4H-thieno[3,4-e][1,2,4]thiadiazin-4-yl]acetonitrile
- 89468-91-7/PTB 67
- 6340-12-1/2-[butyl(4-methoxybenzyl)amino]-1-(4-chlorophenyl)ethanol
- 32598-10-0/2,3',4,4'-TETRACHLOROBIPHENYL
- 115932-36-0/1-Oxa-4-azacyclooctacosa-12,14,26-triene-3,28-dione,16-ethyl-6,8,9-trihydroxy-12-(methoxymethyl)-25,27-dimethyl-2-propyl-,(2S,6S,8S,9R,12Z,14E,16R,25R,26E)- (9CI)
- 129225-02-1/Ethanamine,2,2'-[3,6-pyridazinediylbis(4,1-phenylenethio)]bis[N,N-dimethyl- (9CI)
- 85703-78-2/2,5-Diphenyl-2-bora-5-thio-1,3,5-dioxaphosphorinane complex with pyrid ine
- 150463-67-5/2H,8H-Benzo[1,2-b:3,4-b']dipyran-8-one,5-hydroxy-2-[(2E)-4-hydroxy-4-methyl-2-penten-1-yl]-2-methyl-, (+)-
- 37809-64-6/AMMONIUM ACRYLATES/ACRYLONITROGENS COPOLYMER
- 171176-43-5/Tezacitabine
- 30128-95-1/p-Cumenesulfonic acid,thio-, S,S'-[2-(dimethylamino)trimethylene] ester (8CI)
- 149338-09-0/N-(4-fluorophenyl)-2-nitro-1-benzothiophen-3-amine
- 190655-19-7/2-Propenal,3-[(2R,3S)-3-[(â-Dglucopyranosyloxy) methyl]-2,3-dihydro-2-(4- hydroxy-3-methoxyphenyl)-7-methoxy-5- benzofuranyl]-,(2E)-
- 71293-83-9/1-methylethyl 2-piperidin-1-ylethyl methylphosphonate
- 13450-67-4/4-(2-PIPERIDINOETHYL) PYRIDINE
- 73816-86-1/Piperidinium, 3,3-(tetradecamethylenedioxy)bis[1, 1-dimethyl-, dibromide
- 162795-98-4/dinophysistoxin 4
- 112664-03-6/b-D-Glucopyranoside,2-(3,4-dihydroxyphenyl)ethyl O-b-D-glucopyranosyl-(1®4)-O-6-deoxy-a-L-mannopyranosyl-(1®3)-, 4-[(2E)-3-(3,4-dihydroxyphenyl)-2-propenoate] (9CI)
- 62570-14-3/Lastar 4
- 133-35-7/1,4-dimethylpiperazine [R-(R*,R*)]-tartrate (1:1)
- 107-05-1/Allyl chloride
- 159997-94-1/Biricodar
- 13586-98-6/2-carbamoylphenyl hydrogen sulfate
- 51-50-3/Dibenamine
- 51528-17-7/2-sec-butyl-p-cresol
- 26566-34-7/d-sorbitol
- 569-58-4/Aluminon
