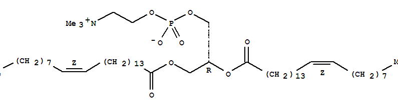
dinervonylphosphatidylcholine(51779-96-5)
- Name: dinervonylphosphatidylcholine
- Synonyms:3,5,9-Trioxa-4-phosphatritriacont-24-en-1-aminium,4-hydroxy-N,N,N-trimethyl-10-oxo-7-[(1-oxo-15-tetracosenyl)oxy]-, inner salt,4-oxide, [R-(Z,Z)]-; 3,5,9-Trioxa-4-phosphatritriacont-24-en-1-aminium,4-hydroxy-N,N,N-trimethyl-10-oxo-7-[[(15Z)-1-oxo-15-tetracosenyl]oxy]-, innersalt, 4-oxide, (7R,24Z)- (9CI); 1,2-Dinervonoyl-sn-glycero-3-phosphorylcholine;Dinervonoyllecithin; L-Dinervonoyl lecithin
- Molecular Formula:C56H108 N O8 P
- Molecular Weight:954.432381
- CAS Registry Number:51779-96-5
- EINECS:
- Melting Point:
- Water Solubility:
Other Product
- 61725-66-4/C.I. 53328
- 13597-61-0/RUBIDIUM VANADATE (PYRO)
- 4135-20-0/N-[bis(aziridin-1-yl)phosphoryl]-2,4,5-triiodobenzamide
- 76025-15-5/Acridine, nitro-
- 53637-06-2/Lipofundin S
- 4445-67-4/diethyl(tetradecyl)phosphane oxide
- 84401-01-4/1H-Indole-4-ethanamine,N,N-dimethyl-
- 6165-09-9/1-{5-[2,6-di(propan-2-yl)phenoxy]pentyl}-4-methylpiperazine
- 83903-59-7/1,2,3-Benzenetriol,5-[4-[6-[2,6-dihydroxy-4- (2,4,6-trihydroxyphenoxy)phenoxy]-2,3,4- trihydroxyphenoxy]-2,6-dihydroxyphenoxy]-4- [3,5-dihydroxy-4-[3,4,5-trihydroxy-2-(3,4,5- trihydroxyphenoxy)phenoxy]phenoxy]-
- 27681-14-7/Glucopyranosiduronicacid, oxopregnanyl (8CI,9CI)
- 139638-43-0/Hexadecanoic acid,11-[[O-6-deoxy-4-O-(1-oxododecyl)-a-L-mannopyranosyl-(1®4)-O-6-deoxy-3-O-(1-oxododecyl)-a-L-mannopyranosyl-(1®4)-O-6-deoxy-a-L-mannopyranosyl-(1®2)-6-deoxy-b-D-galactopyranosyl]oxy]-, intramol. 1,3''-ester,(11S)- (9CI)
- 14695-06-8/2-hydroxybenzaldehyde - chromium (3:1)
- 1978-04-7/1,2,3,4-tetrafluoro-5,6-bis(trifluoromethyl)benzene
- 178924-48-6/Urea,N'-(3,4-dichlorophenyl)-N,N-dimethyl-,mixt. with N-phenyl-N'-1,2,3-thiadiazol-5- ylurea
- 7574-71-2/1-(3,7,8,12b-tetrahydrobenzo[6,7]cyclohepta[1,2,3-de]isoquinolin-2(1H)-yl)ethanone
- 40755-04-2/1-(1-Propylbutyl)-3-methylurea
- 55757-04-5/[18]Radialene
- 12108-11-1/(pi-aniline)tricarbonylchromium
- 54185-99-8/N-[4-(2,4-dichlorophenoxy)but-2-yn-1-yl]-N-methylaniline
- 51779-96-5/dinervonylphosphatidylcholine
- 393-11-3/4-Nitro-3-trifluoromethyl aniline
- 4838-53-3/(E)-amino{[4-(butylcarbamoyl)phenyl]imino}-N-carbamimidoylmethanaminium chloride
- 167875-44-7/Lanost-8-ene-2,3,21,25-tetrol,21,24-epoxy-, 3,21-diacetate 2-[4-hydrogen(2S)-2-hydroxy-2-methylbutanedioate], (2a,3b,20S,24R)- (9CI)
- 39354-90-0/hemoglobin P-Nilotic
- 40530-18-5/5-BROMO-2-HYDROXYBENZONITRILE
- 93964-12-6/1,4-bis[(3-methoxypropyl)amino]anthraquinone
- 37689-86-4/4-nitrophenylcarbamate
- 107104-01-8/Hexanoic acid,6-[[2-(3,5-dioxo-1,2-diphenyl-4-pyrazolidinyl)acetyl]amino]-
- 3061-95-8/H-D-ALA-PHE-OH
- 70943-84-9/oxodecyl)-D-asparaginyl]-D-valyl]-Dphenylalanyl]-L-asparaginyl]-Dasparaginyl]-L-lysyl]-D-allothreonyl]-glycyl]-D-tryptophyl]-
