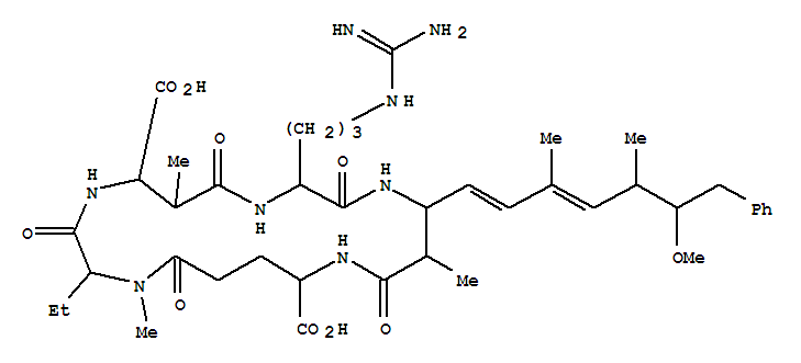
dihydronodularin(146109-35-5)
- Name: dihydronodularin
- Synonyms:1,4,8,11,15-Pentaazacyclononadecane,cyclic peptide deriv.
- Molecular Formula:C41H62 N8 O10
- Molecular Weight:826.9786
- CAS Registry Number:146109-35-5
- EINECS:
- Melting Point:
- Water Solubility:
Other Product
- 6199-98-0/Hexanedianilide, 4,4-bis[ (3, 5-di-2-imidazolin-2-ylphenyl)carbamoyl], tetrachloride
- 56729-72-7/dibromotungsten - tetrabromotungsten (1:1)
- 94138-86-0/hexatriacontyl acrylate
- 79441-38-6/7-(5-carboxypentyl)guanosine 5'-diphosphate
- 41753-38-2/6-Methoxy-3-methyl-5-(3-methyl-2-butenyl)-4,7-benzofurandione
- 5962-67-4/3-Oxa-2,4-disilapentane-2,4-diol
- 24665-77-8/4-[(p-Hydroxyphenylamino)methylene]-1,2-diphenyl-3,5-pyrazolidinedione
- 86437-48-1/Trisodium (4-((4-((7-anilino-1-hydroxy-3-sulpho-2-naphthyl)azo)-3-hydroxy-3-methoxy(1,1-biphenyl)-4-yl)azo)-3-hydroxynaphthalene-2,7-disulphonato(5-))cuprate(3-)
- 110744-65-5/2-[(1E,3E,6E)-1,3,5,7,9,11-hexamethyl-8-oxotrideca-1,3,6-trien-1-yl]-6-hydroxy-3,5-dimethyl-4H-pyran-4-one
- 118044-55-6/Amines, C10-14-alkyl,[2,4-dihydro-4-[2-(2-hydroxy-5-nitrophenyl)diazenyl]-5-methyl-2-phenyl-3H-pyrazol-3-onato(2-)][1-[2-(2-hydroxy-4-methyl-4-nitrophenyl)diazenyl]-2-naphthalenolato(2-)]cobaltate(1-)(1:1)
- 97380-75-1/74239-01-3
- 14552-49-9/Ferrate(2-),bis[L-aspartato(2-)-kN,kO1,kO4]-, dihydrogen (9CI)
- 2493-02-9/4-BROMOPHENYL ISOCYANATE
- 31468-86-7/2-phenyl-3-pyrrolidin-1-yl-1-thiophen-2-yl-propan-1-one hydrochloride
- 3327-44-4/(6alpha)-3,4-dimethoxy-17-methylmorphinan-6,14-diol
- 6633-21-2/N-(3-chloro-9-oxo-9H-fluoren-2-yl)acetamide
- 21224-68-0/2-(3-Phenoxypropyl)aminoethanethiol sulfate
- 87403-25-6/6-Octynoic acid,8-[(1R,5S)-4-oxo-5-(2Z)-2- pentenyl-2-cyclopenten-1-yl]-,rel-(+)-
- 138225-06-6/14-fluoro-6-thiaheptadecanoic acid
- 146109-35-5/dihydronodularin
- 31143-55-2/5-methyl-2-propyl-phenol
- 68966-75-6/Triethylenetetramine, nonylphenol salt
- 91216-70-5/4,5-bis(but-3-en-1-yloxy)imidazolidin-2-one
- 112022-13-6/N-[2-(dimethylamino)ethyl]-10H-phenoxazine-1-carboxamide
- 112446-55-6/2-[4-(1-{5-chloro-2-[(2,5-dichlorophenyl)sulfanyl]phenyl}ethyl)piperazin-1-yl]ethanol di[(2Z)-but-2-enedioate] (salt)
- 121613-92-1/3-Pyridinecarboxamide,N-(2,4-diformyl-5-hydroxyphenyl)-
- 91231-10-6/Poly(oxy-1,2-ethanediyl),R,R',R'',R'''-[1,3- phenylenebis(methylenenitrilodi-2,1-ethanediyl)]- tetrakis[ö-hydroxy-
- 57884-93-2/pyro(alpha-aminoadipyl)-histidyl-prolinamide
- 170902-52-0/3-[3-(4-Amidinophenyl)-4,5-dihydroisoxazol-5(R)-ylacetamido]-2(S)-(butoxycarbonylamino)propionic acid
- 30360-39-5/4,6-bis(chloromethyl)-N-phenyl-1,3,5-triazin-2-amine
