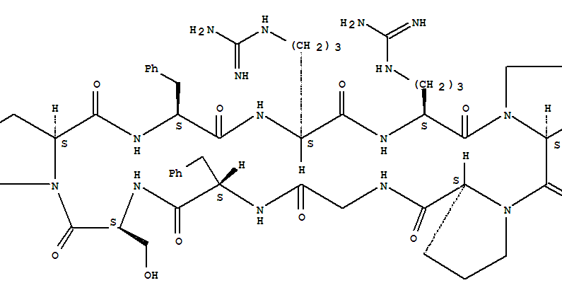
cyclobradykinin(3522-46-1)
- Name: cyclobradykinin
- Synonyms:Cyclic(L-arginyl-L-arginyl-L-prolyl-L-prolylglycyl-L-phenylalanyl-L-seryl-L-prolyl-L-phenylalanyl);19H-Tripyrrolo[1,2-a:1',2'-d:1'',2''-p][1,4,7,10,13,16,19,22,25]nonaazacycloheptacosine,cyclic peptide deriv.; Bradykinin cyclic (9®12)-peptide; Cyclobradykinin
- Molecular Formula:C50H71 N15 O10
- Molecular Weight:1042.19
- CAS Registry Number:3522-46-1
- EINECS:
- Melting Point:
- Water Solubility:
Other Product
- 25070-91-1/4-[benzyl(methyl)amino]benzoic acid
- 5650-50-0/2-Thiabicyclo[3.3.0]octa-3,5(1)-diene
- 83882-67-1/4-(DIFLUOROMETHOXY)ACETOPHENONE
- 23826-70-2/2-(diethylamino)ethyl (3,4-dimethoxyphenyl)(hydroxy)pyridin-3-ylacetate dihydrochloride
- 39270-39-8/2,3-DIHYDRO-1,4-BENZODIOXIN-6-YLMETHANOL
- 24297-59-4/Indol-1-yl-acetic acid
- 79383-83-8/Azuleno[6,5-b]furan-2(3H)-one,5,7-bis- (acetyloxy)decahydro-4-hydroxy-4a,8- dimethyl-3-methylene-,(3aS,4S,4aR,5S,7S,- 7aS,8R,9aS)-
- 55936-75-9/4'-METHOXYCARBONYL-N-BENZOYLOXY-N-METHYL-4-AMINOAZOBENZENE
- 19372-98-6/M-7a
- 21957-65-3/5-oxo-1-[(p-tolyl)sulphonyl]-L-proline
- 118771-19-0/Iron, [N-[2-(hydroxy-kO)benzoyl-kO]-b-alanylglycyl-N-(hydroxy-kO)-N-[3-[(4aS,7S)-octahydro-6-methyl-5-oxo-8-(oxo-kO)-1H-pyrazino[1,2-b]pyridazin-7-yl-kN1]propyl]-L-serinamidato(3-)-kO1]-, (OC-6-56)- (9CI)
- 70979-72-5/versiconol acetate
- 54952-43-1/Shikalkin
- 34144-23-5/Trachyloban-7β-ol
- 80186-90-9/cycloalkannin
- 68042-45-5/3,7-dimethylocta-1,6-diene-3,4-diol
- 52963-61-8/2-(3,4-Dichloro-α-ethoxybenzyl)-5,5-dimethyl-2-imidazoline
- 3522-46-1/cyclobradykinin
- 60768-66-3/1,2-Benzisothiazole,5-nitro-
- 106008-69-9/6-{[(5E,9Z,13E,15E)-12-({3,5-dihydroxy-6,6-dimethyl-4-[(2-methylpropanoyl)oxy]tetrahydro-2H-pyran-2-yl}oxy)-11-ethyl-8-hydroxy-18-(1-hydroxyethyl)-9,13,15-trimethyl-2-oxooxacyclooctadeca-3,5,9,13,15-pentaen-3-yl]methoxy}-4-hydroxy-5-methoxy-2-methyltetrah
- 41948-17-8/4-amino-1-(2-O-hexadecanoyl-beta-D-arabinofuranosyl)pyrimidin-2(1H)-one
- 60893-97-2/(4Z)-1,3,8-trimethyl-4-(6-oxocyclohexa-2,4-dien-1-ylidene)-4,5,6,8-tetrahydropyrazolo[3,4-e][1,4]diazepin-7(1H)-one - 2-(ethylamino)-2-thiophen-2-ylcyclohexanone (1:1)
- 1798-99-8/(3-BROMO-PHENOXY)-ACETIC ACID
- 7597-49-1/6-phenethylpyrimidine-2,4-diamine
- 130815-82-6/capsular polysaccharides K87
- 81570-49-2/3-phenylbicyclo[2.2.1]heptane-2-carboxylic acid
- 54984-67-7/(1S)-3-[(1Z)-3-hydroxy-2-methylprop-1-en-1-yl]-2,2-dimethylcyclopropanecarboxylic acid
- 5867-32-3/2-{[5-(furan-2-yl)-4-(2-methylprop-2-en-1-yl)-4H-1,2,4-triazol-3-yl]sulfanyl}-1-(4-methoxyphenyl)ethanone
- 93891-93-1/3-Guanylic acid, N-benzoyl-5-O-(bis(4-methoxyphenyl)phenylmethyl)-P-(4-chlorophenyl)-2-deoxycytidylyl-(3.5)-2-deoxy-N-(2-methyl-1-oxopropyl)-, mono(4-chlorophenyl) ester, compd. with N,N-diethylethanamine (1:1)
- 63981-09-9/6-hydrazino-2-thioxo-2,5-dihydropyrimidin-4(3H)-one
