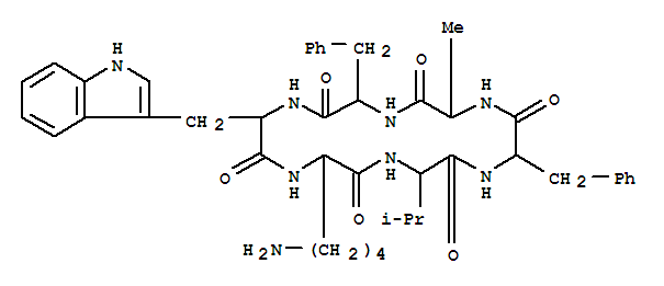
cyclo(Ala-Phe-Trp-Lys-Val-Phe)(156586-93-5)
- Name: cyclo(Ala-Phe-Trp-Lys-Val-Phe)
- Synonyms:1,4,7,10,13,16-Hexaazacyclooctadecane,cyclic peptide deriv.
- Molecular Formula:C43H54 N8 O6
- Molecular Weight:778.94
- CAS Registry Number:156586-93-5
- EINECS:
- Melting Point:
- Water Solubility:
Other Product
- 34885-02-4/1-(3-AMINOPROPYL)PIPERAZINE
- 6378-89-8/Acid blue 98 (C.I. 50335)
- 13587-25-2/diammonium copper(2+) disulphate
- 138810-64-7/Abbott 72517
- 74924-91-7/(7-fluoronaphthalen-1-yl)(7-methyl-2,3-dihydro-1H-inden-4-yl)methanone
- 52232-71-0/Aeruginocin
- 109817-45-0/bis(2-chlorophenyl)phosphinic acid
- 1548-18-1/2,4-DINITRO-5-FLUOROACETANILIDE
- 41631-73-6/BRL 8922
- 35007-03-5/pentacyclo[16.2.1.1~3,6~.1~8,11~.1~13,16~]tetracosa-1(20),3,5,8,10,13,15,18-octaene
- 4623-12-5/2-amino-N-{[(2-benzoyl-4-chlorophenyl)amino]acetyl}acetamide
- 6506-31-6/DIMETHYL 1,3-DIOXOLANE-2,2-DIACETATE
- 64038-17-1/5-Ethyl-1-methyl-5-(1-methylethyl)-2-sodiothio-4,6(1H,5H)-pyrimidinedione
- 6879-92-1/C-Fluorocurin
- 80413-54-3/2-(acryloyloxy)ethyl 6-hydroxyhexanoate
- 7511-08-2/3-benzyl-1,3-dihydroindol-2-one
- 154205-18-2/Ergostane-2,3,6-triol,25-ethyl-, tris(hydrogen sulfate), trisodium salt, (2b,3a,5a,6a,24x)- (9CI)
- 98242-19-4/Boron, trifluoro(piperidine)-, (T-4)-
- 59151-19-8/CALYXOL
- 156586-93-5/cyclo(Ala-Phe-Trp-Lys-Val-Phe)
- 9028-94-8/Dehydrogenase,malonate semialdehyde
- 38005-29-7/see P,P-Diamido-P'-thiodiphosphoric(III,V) acid
- 6276-88-6/2-[2-(naphthalen-2-yl)-2-oxoethyl]isoquinolinium
- 60351-80-6/3-(3,5-ditert-butyl-4-hydroxyphenyl)-N'-(5-[2-(3,5-ditert-butyl-4-hydroxyphenyl)ethyl]-1,3,4,2-oxadiazaphosphol-2(3H)-yl)propanohydrazide
- 69286-22-2/(5R,6S,7S)-5,6,7,9,10-pentahydroxy-5,6,7,8-tetrahydroanthracene-1,4-dione
- 107738-38-5/1H-Pyrazole,1-[2,6-dichloro-4-(trifluoromethyl)phenyl]-4-[(trifluoromethyl)thio]-
- 96602-48-1/N-(2-nitro-4-azophenyl)-1,3-bis(mannos-4'-yloxy)propyl-2-amine
- 13593-08-3/Thiophosphoric acid O,O-dimethyl O-(2-quinoxalinyl) ester
- 40737-70-0/HOE-679
- 133733-42-3/N-(3-(1-pyrene)propenoyl)sphingomyelin
