cisplatin-deoxy(adenosine monophosphate guanosine) adduct(119637-81-9)
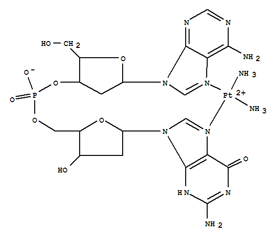
- Name: cisplatin-deoxy(adenosine monophosphate guanosine) adduct
- Synonyms:Platinum(1+),diammine[2'-deoxyadenylyl-(3'®5')-2'-deoxyguanosinato-N7,N7']-, (SP-4-3)-; Guanosine,2'-deoxyadenylyl-(3'®5')-2'-deoxy-, platinum complex
- Molecular Formula:C20H30 N12 O9 P Pt
- Molecular Weight:806.563081
- CAS Registry Number:119637-81-9
- EINECS:
- Melting Point:
- Water Solubility:
Other Product
- 169970-79-0/Oxacyclodocos-15-en-2-one,8,10-bis(acetyloxy)-22-[(1R,2R,3E,6R)-6-(acetyloxy)-2-hydroxy-1,4-dimethyl-3-nonen-1-yl]-4,12,20-trihydroxy-3,5,15-trimethyl-,(3S,4S,5R,8S,10R,12S,15E,20R,22S)-
- 19683-98-8/ovalicin
- 7494-55-5/2-(diethylaminomethyl)-4-[3-(diethylaminomethyl)-4-hydroxy-phenoxy]phenol
- 20512-56-5/Perchloric acid compound with 11H-6lambda~4~-isothiochromeno[4,3-b]indole (1:1)
- 123035-83-6/4-Piperidinamine,N-(furanylmethyl)-2,5-dimethyl-1-(2-phenylethyl)-N-phenyl- (9CI)
- 41753-67-7/silanylium
- 135755-50-9/Grantioidinin
- 118788-44-6/3-(3-tert-butyl-4-hydroxy-5-methylphenyl)-7H-[1,3]thiazolo[3,2-b][1,2,4]triazin-7-one
- 127905-70-8/1-{2-[(2-methoxyphenyl)sulfanyl]phenyl}-N,N-dimethylmethanamine hydrochloride
- 162739-22-2/pyridin-3-ylmethyl 2-benzyl-2-[(2S,3S)-2-hydroxy-4-phenyl-3-({N-[(pyridin-2-ylmethoxy)carbonyl]-L-valyl}amino)butyl]hydrazinecarboxylate
- 78982-94-2/1-(4-aminophenyl)-2-(dimethylamino)ethanol
- 42193-83-9/Glepidotin A
- 134476-84-9/Naphtho[2,3-b]furan-2(4H)-one,4a,5,6,7,9,9ahexahydro- 4,9a-dihydroxy-3,4a,5-trimethyl-,(4S,4aR,5S,9aR)-
- 94086-40-5/(+)-3,7-Dimethyloct-6-enyl propionate
- 146888-25-7/IFP53 protein
- 49648-74-0/Nitrosopentacyanoferrate triethylamine
- 3678-65-7/4-chloro-2-ethylpyridine
- 6912-07-8/5-Butylhexadecane
- 66277-12-1/19-iodocholesterol 3-ethyl ether
- 119637-81-9/cisplatin-deoxy(adenosine monophosphate guanosine) adduct
- 3655-97-8/{2-[(E)-(2-methylphenyl)diazenyl]ethyl}propanedinitrile
- 133155-90-5/trapoxin B
- 1818-71-9/2-HYDROXYADENOSINE
- 64162-11-4/2,5-Furandione, dihydro-3-(tetrapropenyl)-, polymer with aziridine
- 88704-43-2/7-bromo-1-(3,4-dihydro-2H-pyrrol-5-yl)-9H-beta-carboline
- 70781-45-2/2-Pyridinecarboxylic acid,4-amino-3,5,6-trichloro-,compd. with N,N-diethylethanamine (1:1),mixt. with N,N-diethylethanamine (2,4-dichlorophenoxy)acetate
- 88349-88-6/Cloquintocet
- 68310-79-2/2-Propenoic acid, polymer with ethenylbenzene, compd. with morpholine
- 90053-40-0/1-{[2-(ethylselanyl)ethyl]sulfanyl}propane
- 50886-69-6/diosquinone
