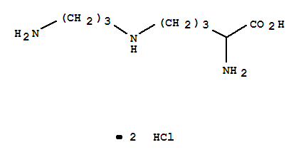
carboxyspermidine(64817-93-2)
- Name: carboxyspermidine
- Synonyms:DL-Ornithine,N5-(3-aminopropyl)-, dihydrochloride
- Molecular Formula:C8H19 N3 O2 . 2 Cl H
- Molecular Weight:0
- CAS Registry Number:64817-93-2
- EINECS:
- Melting Point:
- Water Solubility:
Other Product
- 116455-20-0/8-(1,2-dihydroxyethyl)-6,8,11-trihydroxy-1-methoxy-9,10-dihydro-7H-tet racene-5,12-dione
- 71436-90-3/(Methanol)trimethoxyboron
- 5928-69-8/4-[2-(diphenylmethoxy)ethyl]morpholine hydrochloride (1:1)
- 82464-55-9/butane, molybdenum, trimethylphosphonium
- 88797-00-6/2-Propenoic acid,3-[3,5-bis(1,1-dimethylethyl)- 4-hydroxyphenyl]-,1,6-hexanediyl ester
- 90640-50-9/Amines, C10-14-branched and linear alkyl, reaction products with EDTA
- 97489-01-5/Mixed esters of glycerine and diethylene glycol of lard oil esters
- 156586-96-8/t-butyloxycarbonyl-sulfotyrosyl-norleucyl-glycyl-tyrosyl-aspartyl-2-phenylethyl ester
- 83898-24-2/4,5-dihydro-3-methyl-2-[3-(3-methylthiazolidin-2-ylidene)prop-1-enyl]thiazolium toluene-p-sulphonate
- 5833-04-5/1-benzyl-6,7-dimethoxy-2-methylisoquinolinium
- 85168-97-4/1-[[[5-[(2-hydroxypropyl)amino]-1,3,3-trimethylcyclohexyl]methyl]amino]propan-2-ol
- 88018-44-4/N-[(dibutylamino)methyl]-2-ethyl-3-methylpentanamide hydrochloride
- 77101-23-6/Elaeodendroside H
- 80352-59-6/1-(trimethylsilyl)hex-1-yn-3-one
- 311-75-1/Bicyclo[1.1.1]pentane
- 68459-73-4/Castor oil, trimethylolethane, pentaerythritol, phthalic anhydride,rosin, maleic acid adduct-glycerol ester resin
- 5904-79-0/(Z)-(5-oxofuran-2(5H)-ylidene)methyl acetate
- 70248-36-1/Linseed oil, polymer with formaldehyde, glycerol, isophthalic acid,maleic anhydride, phenol, phthalic anhydride, rosin and soybean oil
- 4092-87-9/methyl 4-{4-[(2-fluoroethyl)amino]phenyl}butanoate
- 64817-93-2/carboxyspermidine
- 10328-35-5/Benzododecinium
- 192800-84-3/Dolastatin I
- 88542-91-0/18-OH-19-Nordoc
- 12010-61-6/YTTERBIUM BISMUTHIDE
- 52916-25-3/N-[1-(9-Propyl-9H-carbazol-3-yl)ethyl]formamide
- 178969-75-0/Poly(oxy-1,2-ethanediyl),R-sulfo-ö- (dodecyloxy)-,sodium salt,mixt. with R-sulfo-ö-[(9Z)-9-octadecenyloxy][poly(oxy- 1,2-ethanediyl)] sodium salt
- 78515-86-3/Proteisan
- 6246-94-2/N-[(E)-(3-chloro-6-oxo-1-cyclohexa-2,4-dienylidene)methyl]-5-tert-butyl-1H-pyrazole-3-carbohydrazide
- 55771-83-0/potassium (2S,5R,6R)-3,3-dimethyl-7-oxo-6-[(phenoxyacetyl)amino]-5-phenyl-4-thia-1-azabicyclo[3.2.0]heptane-2-carboxylate
- 5414-60-8/6-methoxy-1-[10-(piperidin-1-yl)decyl]-1,2,3,4-tetrahydroquinoline
