callitachykinin I(158275-30-0)
- Name: callitachykinin I
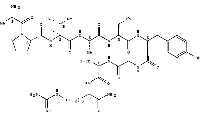
- Synonyms:CallitachykininI (Calliphora vomitoria); CavTK-I; L-Argininamide,L-alanyl-L-prolyl-L-threonyl-L-alanyl-L-phenylalanyl-L-tyrosylglycyl-L-valyl-
- Molecular Formula:C46H69 N13 O11
- Molecular Weight:980.12
- CAS Registry Number:158275-30-0
- EINECS:
- Melting Point:
- Water Solubility:
Other Product
- 3382-93-2/Ajmalan-17-ol,19,20-didehydro-10-methoxy-,(17R,19E)-
- 28571-26-8/21H,23H-Porphine-5-aceticacid, 7-carboxy-3-(2-carboxyethenyl)-12,17-diethenyl-2,8,13,18-tetramethyl-(9CI)
- 103745-24-0/2-Naphthacenecarboxylicacid, 3-[(6-deoxy-2,3,4-tri-O-methyl-a-L-mannopyranosyl)oxy]-6,6a,7,10,10a,11-hexahydro-6a,12-dihydroxy-8,10a-dimethoxy-1-methyl-6,7,10,11-tetraoxo-,methyl ester, (6aR,10aR)- (9CI)
- 68776-20-5/Carabrol
- 86781-08-0/ethyl cyclopropylmethyl 2,6-dimethyl-4-(3-nitrophenyl)-1,4-dihydropyri dine-3,5-dicarboxylate
- 591-95-7/1,2-Pentadiene
- 73941-82-9/2-(1H-benzotriazol-1-yloxy)-N,N-dimethylethanamine
- 142784-31-4/2H-2,4a-Ethanonaphthalen-3-ol,octahydro-3,8,8a-trimethyl-, (2R,3S,4aR,8R,8aS)- (9CI)
- 4057-91-4/Norlithocholic acid
- 925-06-4/Diisobutyl succinate
- 30355-03-4/1,3,5-Triazine-2,4-diamine,6-chloro-N2,N4-didodecyl-
- 7474-02-4/
- 405-97-0/(2-FLUOROETHOXY)-BENZENE
- 157998-90-8/2-Oxabicyclo[3.2.1]octan-3-one,7-[(7a,17b)-7-(acetyloxy)-17-hydroxy-1-oxoandrosta-2,5-dien-17-yl]-4-hydroxy-4,5-dimethyl-,(1R,4R,5R,7S)- (9CI)
- 83948-35-0/1-(4-METHOXY-PHENYL)-PROPYLAMINE
- 72856-18-9/ethyl [(4-bromophenyl)sulfonyl]carbamate
- 51028-87-6/3-Cyclohexyl-5-methoxyphenylacetic acid
- 139953-19-8/b-D-Galactopyranoside, (3b,16b,22S)-3-(b-D-glucopyranosyloxy)-22-hydroxycholest-5-en-16-yl 3-O-(6-deoxy-a-L-mannopyranosyl)- (9CI)
- 3776-20-3/1,3,5,2,4,6-Triazatriphosphorine, 2,2,4,4,6,6-hexahydro-4,6-bis(dimethylamino)-2,2,4,6-tetrakis(1-aziridinyl)-
- 158275-30-0/callitachykinin I
- 186127-93-5/CP 852
- 104373-87-7/ethyl 2-(4-pyridin-2-ylpiperazin-1-yl)propanoate dihydrochloride hydrate
- 69164-80-3/2-amino-4-(hydrazinylsulfonyl)butanoic acid
- 107001-13-8/Phenylalanine,dihydroxyacetylleucyl-3-hydroxylysyl-3-hydroxyleucyl-3-chloro-2,3-didehydroalanyl-2,5-dihydroxy-,cyclic (4®62)-ether (9CI)
- 21233-19-2/(17S,22S)-17-Methyl-18-nor-16,28-secosolanida-5,12-dien-3β-ol
- 7478-83-3/[(N-benzoylglycyl)amino]methanesulfonic acid
- 1196-00-5/(-)-ISOPINOCAMPHEOL
- 66-50-2/(3alpha,9xi,14xi,17alpha)-N~3~,N~3~,N~17~,N~17~-tetraethyl-N~3~,N~17~-dimethylandrostane-3,17-diaminium diiodide
- 64048-37-9/2-(benzoyloxy)-N,N,N-trimethylanilinium bromide
- 36585-14-5/2-[(2-chloroethyl)thio]-N-methylpropionamide
