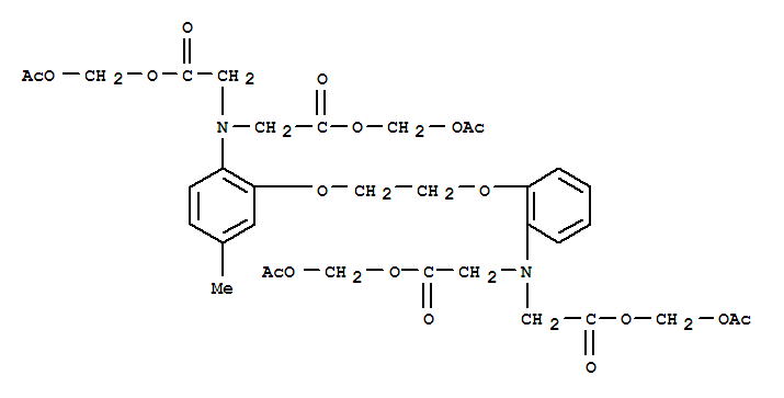
calcium specific chelator(79735-36-7)
- Name: calcium specific chelator
- Synonyms:calcium specific chelator
- Molecular Formula:C35H42 N2 O18
- Molecular Weight:778.71
- CAS Registry Number:79735-36-7
- EINECS:
- Melting Point:
- Water Solubility:
Other Product
- 71010-79-2/1H-Imidazoledipropanoic acid, 4,5-dihydro-1-(2-hydroxyethyl)-, 2-norcoco alkyl derivs, di-Me esters
- 21619-82-9/Silane,triethoxy-7-oxabicyclo[4.1.0]hept-3-yl-
- 226993-85-7/1,7-Diazaspiro[4.4]nonane-2,6-dione,9-(2,4-dibromo-5-methoxyphenyl)-8-hydroxy-1,7-dimethyl-, (5S,8R,9R)-
- 27835-19-4/7-Acetylaminobicyclo(3.2.0)hepta-3,6-dien-2-one
- 41037-82-5/3-[bromo(phenylsulfonyl)methyl]benzonitrile
- 7517-02-4/Diisopropyl(propan-2-olato)aluminium
- 1239-45-8/Ethidium bromide
- 2243-27-8/N-OCTYL CYANIDE
- 154161-96-3/9aH-8,9b-Epoxy-2H-furo[4,3,2-jk][2]benzoxepin,octahydro-2,2,5,8-tetramethyl-, (2aS,5R,5aS,8S,9aR,9bR)- (9CI)
- 62339-00-8/2-Naphthalenecarboxamide,4,4'-[(3,3'-dichloro- [1,1'-biphenyl]-4,4'-diyl)bis(azo)]bis[3- hydroxy-N-phenyl-
- 89469-04-5/trofopar
- 14848-03-4/Benzenesulfonic acid,2,2'-(1,2-ethenediyl)bis[5-(1,3,5-triazin-2-ylamino)-
- 97777-67-8/1-nitrosoazocan-4-ol
- 34114-98-2/T-2 TRIOL
- 69518-43-0/4-amino-N-(4-methylpyrimidin-2-yl)-N-[2-(2H-tetrazol-5-yl)ethyl]benzenesulfonamide
- 16293-12-2/4-Amino-3-nitro-N,N-dimethylaniline
- 436-52-2/N,N-diethyl-2-{4-[6-methoxy-2-(4-methoxyphenyl)-1H-inden-3-yl]phenoxy}ethanamine
- 42955-03-3/Torlon 4000T
- 79735-36-7/calcium specific chelator
- 5660-76-4/Cyclopentanepropanoic acid,â-hydroxy-
- 184785-37-3/Fatty acids, C10-13-branched, zinc salts
- 54004-47-6/1-tetradecyl-iMidazole
- 68919-43-7/Fatty acids, C18-unsatd, dimers, mixed esters with diethylene glycol and polyethylene glycol
- 115664-39-6/3-(1H-IMIDAZOL-4-YLMETHYL)-2-METHYL-BENZOIC ACID
- 14372-89-5/2,2,5,5-tetrakis(trifluoromethyl)-2,5-dihydro-1H-pyrrol-3-amine
- 2155-73-9/ANTIMONY TRI-N-BUTYL
- 83704-07-8/(1alpha,3alpha,6alpha,10alpha,13alpha,14alpha,15beta,16beta,17xi)-20-ethyl-6,16-dimethoxy-4-(methoxymethyl)aconitane-1,3,8,14,15-pentol
- 31354-66-2/1-(2-cyanoethyl)-2-[4-(diethylamino)phenyl]benz[cd]indolium chloride
- 75259-63-1/5-bromo-3-(piperidin-4-ylmethyl)-1H-indole
- 27261-93-4/N-(2-nitrobenzoyl)tryptophan
