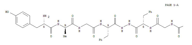
biphalin(83916-01-2)
- Name: biphalin
- Synonyms:L-Phenylalanine,N-[N-(N-L-tyrosyl-D-alanyl)glycyl]-,2-[N-[N-(N-L-tyrosyl-D-alanyl)glycyl]-L-phenylalanyl]hydrazide; Biphalin
- Molecular Formula:C46H56 N10 O10
- Molecular Weight:909
- CAS Registry Number:83916-01-2
- EINECS:
- Melting Point:
- Water Solubility:
Other Product
- 61772-63-2/propylcarbamoyl L-cysteinate
- 56424-81-8/2-(2-AMINO-2-OXOETHOXY)BENZOIC ACID
- 77327-44-7/vasotocin, 1-(beta-mercapto-beta,beta-diethylpropionic acid)-(OEt-Tyr)(2)-Orn(8)-
- 18102-31-3/2-Methoxy-3-methylphenol
- 155488-25-8/N-[(3R)-1-(3,3-Dimethyl-2-oxobutyl)-2,3-dihydro-2-oxo-5-(2-pyridinyl)-1H-1,4-benzodiazepin-3-yl]-N'-[3-(methylamino)phenyl]urea
- 15445-34-8/methyl L-lysinate hydrochloride
- 12202-56-1/Zinckenite
- 87714-25-8/N-[5-(dipropylamino)-2-{(E)-[5-(ethylsulfanyl)-1,3,4-thiadiazol-2-yl]diazenyl}phenyl]acetamide
- 26960-66-7/1-(4-CHLORO-BENZYL)-1H-INDOLE-2,3-DIONE
- 150519-70-3/2-bromomethyl-5-chlorobenzene sulfonylphthalimide
- 68439-54-3/Alcohols, C11-13-branched, ethoxylated
- 97420-55-8/2-(2',4'-dihydroxyphenyl-1-azo)benzimidazole
- 88130-78-3/2-[(2E,4R,5R,6R,7R)-4,6-dihydroxy-7-{6-[(1R,2S)-2-hydroxy-1-methylbutyl]-3,5-dimethyl-4-oxo-4H-pyran-2-yl}-1,3,5-trimethyloct-2-en-1-yl]-6-ethyl-3,5-dimethyl-4H-pyran-4-one
- 86425-63-0/(2beta,3alpha,5xi,9beta,18alpha,21alpha)-21-(beta-D-glucopyranosyloxy)-2,3,24-trihydroxyolean-12-en-28-oic acid
- 83790-87-8/(2-butylbenzofuran-3-yl) (4-methoxyphenyl) ketone
- 83521-89-5/1-methyl-2-(4-methylphenyl)imidazolidine
- 135546-60-0/O-(2-O-acetyl-5-O-(feruloyl)-alpha-arabinofuranosyl)-(1-3)-O-beta-xylopyranosyl-(1-4)-xylopyranose
- 375-02-0/HEPTAFLUOROBUTYRALDEHYDE HYDRATE, TECH.
- 7341-96-0/PROPYNOIC ACID AMIDE
- 83916-01-2/biphalin
- 73664-73-0/3-Butoxy-N-[2-(1-pyrrolidinyl)ethyl]benzamide
- 127375-13-7/2-[(4-morpholin-4-yl-6-propyl-1,3,5-triazin-2-yl)amino]ethyl carbamate
- 13429-12-4/4-BROMO-3,5-DIHYDROXYBENZAMIDE
- 138303-42-1/L 690150
- 71933-32-9/4-chloro-N-[(5E)-5-(2-morpholin-4-ylethylidene)-4,5-dihydro-1,3-thiazol-2-yl]benzenesulfonamide hydrochloride
- 55152-76-6/(Z)-(benzylamino)(benzylimino)methanesulfinic acid
- 29427-51-8/2-{4-[bis(2-chloroethyl)amino]phenyl}ethyl acetate
- 166445-47-2/(3S,6S,9S,12R,15S,18S,21S,24S,30S,33S)-30-ethyl-33-[(1R)-1-hydroxy-2-methyl-propyl]-6,9-diisobutyl-3,21-diisopropyl-1,4,7,10,12,15,18,19,24,25,28-undecamethyl-1,4,7,10,13,16,19,22,25,28,31-undecazacyclotritriacontane-2,5,8,11,14,17,20,23,26,29,32-undecone
- 68171-40-4/Poly(oxy-1,2-ethanediyl), alpha-(2-(eicosylamino)ethyl)-omega-hydroxy-
- 84540-71-6/alpha1-(chloromethyl)-alpha4-(hydroxymethyl)-1H-imidazole-1,4-diethanol
