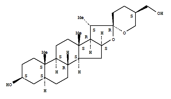
barbourgenin(105815-87-0)
- Name: barbourgenin
- Synonyms:Spiro[8H-naphth[2',1':4,5]indeno[2,1-b]furan-8,2'-[2H]pyran],spirostan-3,27-diol deriv.; Barbourgenin
- Molecular Formula:C27H44 O4
- Molecular Weight:432.63586
- CAS Registry Number:105815-87-0
- EINECS:
- Melting Point:
- Water Solubility:
Other Product
- 76739-49-6/Ep 460
- 69141-75-9/5-methyl-1,3,7,9-tetrazabicyclo[4.3.0]nona-2,4,6,8-tetraene
- 85480-33-7/Aglaia odorata, ext.
- 141733-18-8/SKF 106528 (9CI)
- 40632-70-0/2-Methyl-2-(6-methylhept-6-enyl)-1,3-dioxolane
- 128255-16-3/Axillaridine A
- 726-17-0/4-(4-Nitrobenzyl)aniline
- 26327-71-9/1-[2-(2-methylphenoxy)phenoxy]-3-(morpholin-4-yl)propan-2-ol hydrochloride (1:1)
- 326-39-6/2-(dipropylamino)ethyl 4-fluorobenzoate hydrochloride (1:1)
- 35923-97-8/3-(2,3,5-tri-O-benzylpentofuranosyl)-3H-[1,2,3]triazolo[4,5-d]pyrimidin-7-amine
- 12225-86-4/REACTIVE ORANGE 14
- 65225-87-8/(4-methyl-1,2,5-oxadiazol-3-yl)(pyrrolidin-1-yl)methanone
- 17903-05-8/6-(2-methoxyethoxy)-6-phenyl-2,5,7,10-tetraoxa-6-silaundecane
- 118707-60-1/N-(2-morpholin-4-ylethyl)-4,5-dihydronaphtho[1,2-d][1,3]thiazol-2-amine dihydrochloride
- 90052-57-6/ATRIAL NATRIURETIC PEPTIDE (126-150) (RAT)
- 76648-60-7/(3beta,17xi)-3,17-dihydroxy-20-oxopregn-5-en-21-yl acetate
- 3868-84-6/trimethyl-(8-trimethylammoniooctyl)azanium diiodide
- 54223-20-0/1-(1,3-Benzothiazol-2-yl)-2-bromo-1-ethanone
- 80419-51-8/trisodium 5-(acetylamino)-4-hydroxy-3-[[4-[[[3-[[2-(sulphonatooxy)ethyl]sulphonyl]phenyl]amino]carbonyl]phenyl]azo]naphthalene-2,7-disulphonate
- 105815-87-0/barbourgenin
- 6970-49-6/methyl 2-(benzoyloxy)-4-(methylamino)benzoate
- 104777-03-9/2-ethoxyethyl N-(4-(3-methyl-5-isoxazolyl)-2-thiazolyl)oxamate
- 22982-78-1/(isopropyl)[(1,2,3,4-tetrahydro-6-methyl-7-nitro-2-quinolyl)methyl]ammonium methanesulphonate
- 94159-31-6/2-(4-Methylthiazol-5-yl)ethyl butyrate
- 93658-87-8/7-[[2-[(aminocarbonyl)amino]-4-[(4-amino-6-chloro-1,3,5-triazin-2-yl)amino]phenyl]azo]naphthalene-1,3,6-trisulphonic, acid sodium salt
- 176-73-8/7-azaspiro[4.5]decane
- 77303-19-6/AR-L-57
- 78110-00-6/3-(cyclobutylamino)-2-methyl-1,1-diphenylpropan-1-ol hydrochloride
- 10042-84-9/TRISODIUM NTA
- 137522-70-4/N-(2-methylphenyl)-12-oxo-12H-quino[2,1-b]quinazoline-5-carboxamide
