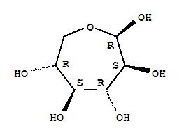
b-D-Idoseptanose (9CI)(41847-28-3)
- Name: b-D-Idoseptanose (9CI)
- Synonyms:Oxepane,b-D-idoseptanose deriv.
- Molecular Formula:C6H12 O6
- Molecular Weight:
- CAS Registry Number:41847-28-3
- EINECS:
- Melting Point:
- Water Solubility:
Other Product
- 39426-94-3/ZsF10
- 52643-93-3/2-amino-4,5-dimethoxy-2,3-dihydro-1H-inden-1-ol
- 75654-98-7/N,N-diethyl-4-phenylthiazol-2-amine
- 86854-01-5/13H-Dibenzo[a,i]fluoren-13-one
- 121150-44-5/decyl N,N-dimethylglycinate
- 4226-57-7/2,2-diphenylbutyric acid
- 89372-43-0/1-(1H-imidazol-1-yl)-2-(4-methoxybenzyl)-3,3-dimethylbutan-1-one
- 94200-96-1/4-(3-ethyl-5-methylcyclohexylidene)-2-buten-1-yl acetate
- 77576-48-8/N-(2-ethoxybenzothiazol-6-yl)-N-[1-(4-phenethylpiperazin-1-yl)propan-2 -yl]propanamide, oxalic acid
- 73561-89-4/Janthitrem A
- 62249-51-8/(7Z)-1,4,5,6,9,10-hexahydro-1,4-epoxybenzo[8]annulene-4a,7,8,10a-tetracarbonitrile
- 34428-34-7/2-(4-chlorobenzylidene)cyclopent-4-ene-1,3-dione
- 35975-71-4/8-Chloro-4-oxo-1,4-dihydroquinoline-3-carboxylic acid
- 61790-36-1/Tall oil, sulfurized
- 3532-77-2/2-[2-(diethylamino)ethyl]-3-hydroxy-3-phenyl-2,3-dihydro-1H-isoindol-1-one
- 41847-28-3/b-D-Idoseptanose (9CI)
- 31035-92-4/but-2-yne-1,4-diyl bis(diethylcarbamate)
- 84586-77-6/2-{[5-(4-chlorophenyl)-1,3,4-thiadiazol-2-yl]sulfanyl}-N-(1,3-thiazol-2-yl)acetamide
- 34068-06-9/1,3-Oxathiole,2-methylene-
- 56779-64-7/2H-Pyran-3-ol, 6-ethenyltetrahydro-2,2,6-trimethyl-, acetate, (3R,6R)- rel-
- 7789-78-8/Calcium hydride
- 63589-35-5/Ethanol,2,2'-[(3-chlorophenyl)imino]bis-, hydrochloride (1:1)
- 61789-24-0/Fatty acids, corn-oil,sodium salts
- 85959-44-0/barium bis(5-oxo-L-prolinate)
- 7249-45-8/[4-(propanoyloxy)phenyl]methanediyl dibutanoate
- 10295-49-5/2-hydroxy-N-(4-methoxyphenyl)-2-phenylacetamide
- 5756-19-4/N-(2,5-dimethoxyphenyl)-4-ethoxy-3-nitrobenzamide
- 544708-22-7/2-Propenoic acid,2-methyl-, C12-16-alkyl esters, polymers with C12-15-isoalkyl methacrylate,isodecyl methacrylate, Me methacrylate, 2-octyldodecyl methacrylate and stearylmethacrylate
- 63931-87-3/7-chloro-4-methyl-3-[(4-methylpiperazin-1-yl)carbonyl]-1,4-dihydro-5H-1,2,4-benzotriazepin-5-one
- 67042-81-3/(5E)-5-(7-hydroxychromen-2-ylidene)-3H-pyrimidine-2,6-dione; 4-methylbenzenesulfonic acid
