Current position:Home >Product >
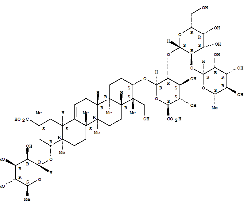
b-D-Glucopyranosiduronic acid, (3b,4b,20a,22b)-20-carboxy-22-[(6-deoxy-a-L-mannopyranosyl)oxy]-23-hydroxy-30-norolean-12-en-3-ylO-6-deoxy-a-L-mannopyranosyl-(1®2)-O-b-D-galactopyranosyl-(1®2)- (9CI)
b-D-Glucopyranosiduronic acid, (3b,4b,20a,22b)-20-carboxy-22-[(6-deoxy-a-L-mannopyranosyl)oxy]-23-hydroxy-30-norolean-12-en-3-ylO-6-deoxy-a-L-mannopyranosyl-(1®2)-O-b-D-galactopyranosyl-(1®2)- (9CI)(148332-55-2)
- Name: b-D-Glucopyranosiduronic acid, (3b,4b,20a,22b)-20-carboxy-22-[(6-deoxy-a-L-mannopyranosyl)oxy]-23-hydroxy-30-norolean-12-en-3-ylO-6-deoxy-a-L-mannopyranosyl-(1®2)-O-b-D-galactopyranosyl-(1®2)- (9CI)
- Synonyms:30-Noroleanane,b-D-glucopyranosiduronic acidderiv.; Robinioside C
- Molecular Formula:C54H86 O24
- Molecular Weight:
- CAS Registry Number:148332-55-2
- EINECS:
- Melting Point:
- Water Solubility:
Other Product
- 104987-51-1/25-aminolanosterol
- 81226-80-4/(2E)-1-(2,4-dichlorophenyl)-2-[1-(3,4-dichlorophenyl)non-1-en-3-ylidene]hydrazine
- 50836-26-5/N-(2-Diethylaminoethyl)spiro(cyclohexane-1,2-benzodioxole)-2-formamide citrate
- 56392-07-5/N,N,3,7,11-pentamethyldodecan-1-amine
- 491-74-7/C10465
- 73928-06-0/6'-Nitro-3-methylspiro[2H-naphtho[2,3-b]pyran-2,2'-[2H][1]benzopyran]
- 89427-40-7/5-chloro-6-methyl-4,7-dinitro-2-(trifluoromethyl)-1H-benzimidazole
- 70369-47-0/BUCINDOLOL
- 16586-67-7/2-[(2E)-2-benzylidenehydrazinyl]-1,3-benzothiazole
- 7045-51-4/â-D-Galactofuranose
- 65714-69-4/(4aR)-2,3,4,4a-Tetrahydro-5,6,8,10-tetrahydroxy-1,1,4a-trimethyl-7-isopropylphenanthren-9(1H)-one
- 145307-22-8/2,4,7-trimethyloctahydro-1H-cyclopenta[c]pyridin-6-ol
- 35843-75-5/N-(triphenylphosphoranylidene)-m-toluidine
- 64511-74-6/1-{1-[2-hydroxy-3-(4-nitrophenoxy)propyl]-4-phenylpiperidin-4-yl}ethanone
- 69432-19-5/Copper alloy, base, Cu80-86,Ni 12-15,Al 2.3-3,Fe 0-1,Mn 0-0.5 (MNA13-3) (9CI)
- 63869-05-6/methylmercury(1+) bis[(4-methylphenyl)sulfonyl]azanide
- 37652-58-7/1-(2-benzylbenzyl)piperazine (2E)-but-2-enedioate
- 63986-53-8/2-(morpholin-4-yl)ethyl [2-methyl-4-(pentyloxy)phenyl]carbamate
- 73467-19-3/(2-isobutoxymethylethoxy)propanol
- 148332-55-2/b-D-Glucopyranosiduronic acid, (3b,4b,20a,22b)-20-carboxy-22-[(6-deoxy-a-L-mannopyranosyl)oxy]-23-hydroxy-30-norolean-12-en-3-ylO-6-deoxy-a-L-mannopyranosyl-(1®2)-O-b-D-galactopyranosyl-(1®2)- (9CI)
- 136212-91-4/DERMASEPTIN PHYLLOMEDUSA SAUVAGII
- 136-68-5/8-methyl-8-azabicyclo[3.2.1]oct-3-yl (4-nitrophenyl)acetate hydrochloride (1:1)
- 127-96-8/potassium trihydrogen dioxalate
- 25197-87-9/1-isonicotinyl-2-lactosylhydrazine
- 63869-06-7/methylmercury - 4-methylbenzenesulfonic acid (1:1)
- 142273-66-3/dimethyl 3,9-dibromo-2,8-bis(4-methylphenyl)-4,10-dioxo-1,7-dioxadispiro[4.0.4.2]dodeca-2,8-diene-11,12-dicarboxylate
- 68958-25-8/2-Propenoic acid, polymer with butyl 2-propenoate, ethenyl acetate,2-ethylhexyl 2-propenoate and N-(hydroxymethyl)-2-propenamide
- 66447-95-8/L 87
- 72928-53-1/(2E,6Z)-1,1'-oxybis[3,7-dimethylocta-2,6-diene]
- 10041-19-7/1,4-bis(2-ethylhexyl) 2-sulphosuccinate
