Current position:Home >Product >
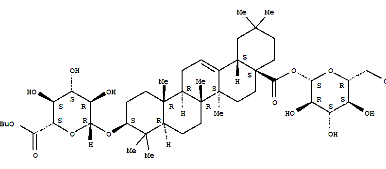
b-D-Glucopyranosiduronic acid, (3b)-28-(b-D-glucopyranosyloxy)-28-oxoolean-12-en-3-yl, butylester
b-D-Glucopyranosiduronic acid, (3b)-28-(b-D-glucopyranosyloxy)-28-oxoolean-12-en-3-yl, butylester(164990-98-1)
- Name: b-D-Glucopyranosiduronic acid, (3b)-28-(b-D-glucopyranosyloxy)-28-oxoolean-12-en-3-yl, butylester
- Synonyms:3-O-((6'-Buester)-b-D-glucuronopyranosyl)oleanolicacid 28-O-b-D-glucopyranoside; CalendulosideF 6'-O-N-butyl ester; Chikusetsusaponin IVa butyl ester; Taibaienoside IV
- Molecular Formula:C46H74 O14
- Molecular Weight:851.07
- CAS Registry Number:164990-98-1
- EINECS:
- Melting Point:
- Water Solubility:
Other Product
- 37905-69-4/3-(4-chloro-2,5-dimethoxyphenyl)-6-iodo-2-methylquinazolin-4(3H)-one
- 57435-92-4/7-Ethyl-3,7-dihydro-6-methyl-5-phenylpyrrolo[3,4-e]-1,4-diazepin-2(1H)-one
- 17229-42-4/(4-Ethoxy-3-methoxybenzylidene)malononitrile
- 85866-10-0/Tetradecane-1,2,13,14-tetrol
- 94201-01-1/4-methyl-1-(3-methylbicyclo[2.2.1]hept-5-en-2-yl)pent-3-enyl acetate
- 91673-22-2/Ethanesulfonic acid, 2-(methylamino)-, N-(C14-18 and C14-18-unsatd. acyl) derivs., sodium salts
- 66996-47-2/Benzoic acid, 4-(dimethylamino)-, (1-(4-((3-amino-2,3,6-trideoxy-alpha-L-lyxo-hexopyranosyl)oxy)-1,2,3,4,6,11-hexahydro-2,5,12-trihydroxy-7-methoxy-6,11-doxo-2-naphthacenyl)ethylidene)hydrazide, monohydrochloride, (2S-cis)-
- 5249-70-7/ethyl 5-benzylidene-1-methyl-6-oxo-2-phenyl-1,2,5,6-tetrahydropyridine-3-carboxylate
- 481-19-6/7-dehydrostigmasterol
- 66198-45-6/Dolichol pyrophosphate man(1-4)-glcnac(1-4)glcnac
- 186961-29-5/Borate(1-),difluoro[6-[[[4-[5-[[5-(2-thienyl)- 2H-pyrrol-2-ylidene-kN]methyl]-1H-pyrrol- 2-yl-kN]phenoxy]acetyl]amino]hexanoato(2-)]-,hydrogen,(T-4)-
- 166196-12-9/1H-2-Benzopyran-5,6-diol,3-(2,2-dimethylpropyl)-3,4-dihydro-1-[(methylamino)methyl]-, hydrochloride,(1R,3R)- (9CI)
- 91745-44-7/Amines, C12-14-tert-alkyl, reaction products with benzoic acid
- 104123-87-7/(5Z)-5-cinnamylidene-3-[(dipropylamino)methyl]-2-phenylimino-thiazolid in-4-one
- 60026-17-7/1-(3-methylbutyl)pyrrolidine
- 97310-66-2/(5E)-3-(2-chlorophenyl)-5-[(2-chlorophenyl)methylidene]imidazolidine-2,4-dione
- 1798-50-1/Diphenylpiperidin-4-ylmethanol hydrochloride
- 25569-80-6/2,3'-DICHLOROBIPHENYL
- 16574-34-8/1-(naphthalen-2-ylmethyl)piperidine
- 164990-98-1/b-D-Glucopyranosiduronic acid, (3b)-28-(b-D-glucopyranosyloxy)-28-oxoolean-12-en-3-yl, butylester
- 17464-91-4/2,2'-[[4-[(2-bromo-6-chloro-4-nitrophenyl)azo]-3-chlorophenyl]imino]bisethanol
- 14094-13-4/Propane, 2-(ethenylthio)-2-methyl-
- 55779-15-2/sodium 2,5-bis[(phenylcarbonyl)oxy]benzenesulfonate
- 53124-76-8/1,4-Bis(2-ethylhexylamino)-9,10-anthracenedione
- 6226-49-9/methyl (4Z)-4-[4-(dimethylamino)benzylidene]-1-(2-methoxyethyl)-2-methyl-5-oxo-4,5-dihydro-1H-pyrrole-3-carboxylate
- 1195-36-4/3-methyl-3-azoniabicyclo[3.2.2]nonane iodide
- 84473-84-7/4,4'-ethylenedipiperidine dihydrochloride
- 86302-89-8/2,5,7,11-Cyclotetradecatetraen-1-ol,1,5,11- trimethyl-8-(1-methylethyl)-,(2E,5E,7E,- 11E)-
- 66984-60-9/5-benzyl-5-propylpyrimidine-2,4,6(1H,3H,5H)-trione
- 6674-17-5/4-(5-CHLOROMETHYL-[1,2,4]OXADIAZOL-3-YL)-ANILINE
