Current position:Home >Product >
b-D-Glucopyranosiduronic acid, (3b)-28-[[2-O-(6-deoxy-a-L-mannopyranosyl)-a-L-arabinopyranosyl]oxy]-28-oxoolean-12-en-3-yl(9CI)
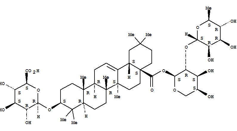
b-D-Glucopyranosiduronic acid, (3b)-28-[[2-O-(6-deoxy-a-L-mannopyranosyl)-a-L-arabinopyranosyl]oxy]-28-oxoolean-12-en-3-yl(9CI)(138822-87-4)
- Name: b-D-Glucopyranosiduronic acid, (3b)-28-[[2-O-(6-deoxy-a-L-mannopyranosyl)-a-L-arabinopyranosyl]oxy]-28-oxoolean-12-en-3-yl(9CI)
- Synonyms:Oleanane,b-D-glucopyranosiduronic acidderiv.; Scaberoside B3
- Molecular Formula:C47H74 O17
- Molecular Weight:
- CAS Registry Number:138822-87-4
- EINECS:
- Melting Point:
- Water Solubility:
Other Product
- 132023-51-9/Dammara-20,24-dien-3-one,16-hydroxy-, (16a)-(9CI)
- 102110-52-1/Leach residues,tungsten ore
- 84236-55-5/dibromoplatinum(2+) pentane-2,4-diyldiazanide
- 54370-35-3/(4S,6'S,11R)-6'-Ethyl-2,3,4,5,5',6,6',7,8,8aα,9α,10-dodecahydro-6'-methoxy-2-methylspiro[1H-4,10aα-methanopentaleno[1,6-cd]azonine-11,3'(4'H)-[2H]-pyran]-9-carboxylic acid methyl ester
- 34863-14-4/(E)-bis(diphenylmethyl)diazene
- 513506-76-8/2-METHYL-6-NITROBENZOICACID
- 145458-38-4/1-Oxaspiro[4.5]decan-2-one,10-chloro-6,7-dimethyl-6-(2-oxopropyl)-, (5R,6R,7S,10R)-rel-(+)- (9CI)
- 93963-57-6/5-oxo-L-proline, compound with 10-[2-(dimethylamino)ethyl]-5,10-dihydro-5-methyl-11H-dibenzo[b,e][1,4]diazepin-11-one (1:1)
- 36452-21-8/1,3,5-triazine-2,4,6(1H,3H,5H)-trione, disodium salt
- 158619-46-6/3'-METHYL-BIPHENYL-3-CARBOXYLIC ACID
- 66635-92-5/(S)-Ketorolac
- 6641-39-0/(2-methoxytetrahydro-2H-pyran-3-yl)mercury - acetic acid (1:1)
- 79771-12-3/Octadecanoic acid, 12-hydroxy-, polymer with methyl 2-methyl-2-propenoate, 2-methyl-2-propenoic acid, oxiranylmethyl 2-methyl-2-propenoate and 1,2-propanediol mono(2-methyl-2-propenoate)
- 63732-34-3/3-methoxy-17-prop-2-yn-1-ylmorphinan hydrobromide
- 87216-23-7/9-chloro-7-(2-chlorophenyl)-2-oxo-1,2,3,5-tetrahydropyrazino[1,2-a][1,4]benzodiazepine-4-carboxamide
- 138822-87-4/b-D-Glucopyranosiduronic acid, (3b)-28-[[2-O-(6-deoxy-a-L-mannopyranosyl)-a-L-arabinopyranosyl]oxy]-28-oxoolean-12-en-3-yl(9CI)
- 6287-03-2/2-[benzyl(methyl)amino]-1,3-diphenyl-3-(phenylamino)propan-1-one
- 81050-08-0/dipropyl 2,2'-dithiobisbenzoate
- 78641-40-4/[(4-methoxyphenyl)methyl] hydrogen (4-hydroxyphenyl)malonate
- 60246-98-2/3-[(4,5-diphenyl-1,3-oxazol-2-yl)sulfanyl]-1-(piperidin-1-yl)propan-1-one
- 6148-34-1/METHYL 2,5-DIMETHYL-3-FUROATE
- 85994-68-9/1-Naphthalenecarboxylicacid,5-(4-carboxy-3-methyl-3-butenyl)-1,2,3,4,4a,5,8,8a-octahydro-1,4a,6-trimethyl-(9CI)
- 84605-24-3/Formaldehyde, reaction products with tetrapropylenephenol, calcium salts
- 65523-41-3/N-[2-(acetyloxy)ethyl]-N,N-dimethylhexadecan-1-aminium
- 7257-41-2/DINOPROP
- 7497-44-1/2-(4-chlorophenyl)-3-phenylbutanedinitrile
- 118354-49-7/(1aS,1bS,5aS,9bR)-8-bromo-1a,1b,2,3,4,5,5a,9b-octahydrophenanthro[9,10-b]oxirene
- 208834-88-2/Neparensinol B
- 121952-97-4/5-BENZYL-1,3-THIAZOL-2-AMINE
- 102083-79-4/1,3-Isobenzofurandione,hexahydro-5-methyl(tetrahydro-2,5-dioxo-3-furanyl)-, didehydro deriv.
