Current position:Home >Product >
b-D-Glucopyranoside,(2Z,8E)-2,8-decadiene-4,6-diynyl 2-O-b-D-glucopyranosyl- (9CI)
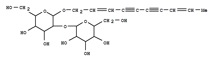
b-D-Glucopyranoside,(2Z,8E)-2,8-decadiene-4,6-diynyl 2-O-b-D-glucopyranosyl- (9CI)(163136-10-5)
- Name: b-D-Glucopyranoside,(2Z,8E)-2,8-decadiene-4,6-diynyl 2-O-b-D-glucopyranosyl- (9CI)
- Synonyms:b-D-Glucopyranoside,2,8-decadiene-4,6-diynyl 2-O-b-D-glucopyranosyl-, (Z,E)-; Asteryunnanoside I
- Molecular Formula:C22H30 O11
- Molecular Weight:
- CAS Registry Number:163136-10-5
- EINECS:
- Melting Point:
- Water Solubility:
Other Product
- 649-15-0/P-TOLUENESULFONYL-N,N-DIETHYLAMIDE
- 91776-44-2/N-Acetyl-S-[[5,8-dihydro-1-hydroxy-7-(hydroxymethyl)-3-methoxy-5,8-dioxonaphthalen-2-yl]methyl]-L-cysteine
- 93882-60-1/[benzyldimethyl[3-[3-(dodecyl)-2,5-dioxopyrrolidine-1-yl]propyl]ammonium] chloride
- 221456-27-5/Butanediamide,N-(5-aminopentyl)-N'-[5-[[4-[[5-(butylideneoxidoamino)pentyl]amino]-1,4-dioxobutyl]hydroxyamino]pentyl]-N-hydroxy-(9CI)
- 10140-94-0/2-Chloro-5-ethyl-4-propyl-1,3,2-dioxaphosphorinane 2-sulfide
- 12424-60-1/Seyrigite (8CI,9CI)
- 10043-22-8/oxalic acid, potassium salt
- 52174-04-6/2-[(1-cyano-1-methylethyl)sulfanyl]phenyl methylcarbamate
- 83108-07-0/(1)-alpha,alpha,4-Trimethylcyclohex-3-ene-1-methanethiol
- 26882-70-2/N-(1,3-benzodioxol-5-yl)-4,5-dihydro-1,3-oxazol-2-amine
- 724-31-2/1,3,7-Tribromo-9H-fluoren-2-amine
- 63665-59-8/106465-84-3
- 104582-17-4/2-[(cyclopropylmethylamino)methylidene]indene-1,3-dione
- 97703-19-0/N,N-diethyl-2-oxo-2-[(1-phenoxypropan-2-yl)amino]ethanaminium chloride
- 117048-59-6/COMBRETASTATIN A-4
- 7791-71-1/5'-O-Tritylthymidine
- 35615-72-6/3-(ethoxycarbonyl)-6,7,8,9-tetrahydro-1,6-dimethyl-4-oxo-4H-pyrido[1,2-a]pyrimidinium
- 73963-72-1/Cilostazol
- 163136-10-5/b-D-Glucopyranoside,(2Z,8E)-2,8-decadiene-4,6-diynyl 2-O-b-D-glucopyranosyl- (9CI)
- 59836-76-9/N-[2-(2,3-dihydro-1H-indol-1-yl)-2-oxoethyl]-N-(propan-2-yl)propan-2-aminium chloride
- 13089-99-1/L-Lathyrine
- 52622-73-8/DAF 68
- 121119-48-0/histidyl-glutamyl-alanyl-prolyl-isoleucine
- 54824-04-3/1-(cyclohexylmethyl)-2-methylcyclohexane
- 149949-89-3/4-Methylsulfonyl-2,3,3',4',6-pentachlorobiphenyl
- 4413-21-2/1,1-Dicyclopentylethane
- 115398-75-9/2-{[1-(morpholin-4-ylmethyl)-1H-benzimidazol-2-yl]methyl}-1H-isoindole-1,3(2H)-dione
- 33406-44-9/2-(butylamino)-1-(3,4-dihydroxyphenyl)ethanone
- 102206-72-4/3-[(pentylsulfanyl)methyl]pyridine
- 96913-05-2/2-Propenoic acid,esters,butyl ester,polymer with 4-ethenylphenol
