Current position:Home >Product >
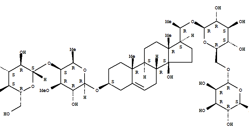
b-D-Galactopyranoside, (3b,14b,20R)-20-[[6-O-(6-deoxy-a-L-mannopyranosyl)-b-D-glucopyranosyl]oxy]-14-hydroxypregn-5-en-3-yl6-deoxy-4-O-b-D-glucopyranosyl-3-O-methyl-(9CI)
b-D-Galactopyranoside, (3b,14b,20R)-20-[[6-O-(6-deoxy-a-L-mannopyranosyl)-b-D-glucopyranosyl]oxy]-14-hydroxypregn-5-en-3-yl6-deoxy-4-O-b-D-glucopyranosyl-3-O-methyl-(9CI)(221894-22-0)
- Name: b-D-Galactopyranoside, (3b,14b,20R)-20-[[6-O-(6-deoxy-a-L-mannopyranosyl)-b-D-glucopyranosyl]oxy]-14-hydroxypregn-5-en-3-yl6-deoxy-4-O-b-D-glucopyranosyl-3-O-methyl-(9CI)
- Synonyms:LasianthosideB
- Molecular Formula:C46H76 O21
- Molecular Weight:
- CAS Registry Number:221894-22-0
- EINECS:
- Melting Point:
- Water Solubility:
Other Product
- 4149-06-8/3-AMINO-1-PHENYL-2-PYRAZOLIN-5-ONE
- 1976-55-2/1-(morpholin-4-yl)-4,4-diphenylbut-3-en-2-ol
- 82294-80-2/Phenol, polymer with 2,6,6-trimethylbicyclo(3.1.1)hept-2-ene, formaldehyde, methyl oxirane and oxirane
- 61849-15-8/(2S,6R,11R)-6,11-diethyl-3-(furan-3-ylmethyl)-1,2,3,4,5,6-hexahydro-2,6-methano-3-benzazocin-8-ol hydrochloride
- 9005-90-7/Turpentine
- 85382-75-8/dihydroacarbose
- 122551-89-7/3-CHLORO-4-(DICHLOROMETHYL)-2(5H)-FURANONE
- 94669-63-3/1,3-Oxathiane, 2-methyl-4-propyl-, trans-
- 29218-20-0/2-Oxo-3-[3-(trifluoromethyl)phenyl]-5-oxazolidinylmethyl=carbamate
- 63991-77-5/3-(m-Propylphenoxy)-1,2-propanediol
- 219822-96-5/Mutabilein
- 73806-06-1/3-[(2,2,2-Trifluoroethyl)carbamoyl]-7-oxabicyclo[2.2.1]heptane-2-carboxylic acid
- 73360-05-1/(2Z)-2-[(3aS,5R,7S)-10-hydroxy-7-methoxy-3-methyl-1,2,3,3a,4,5,6,7-octahydro-3,7a-diazacyclohepta[1,2,3-jk]fluoren-5-yl]but-2-enal
- 634-21-9/ETHYL RED IODIDE
- 27929-83-5/3,4-Dihydro-6-isopropyl-2H-1,5-benzoxazocin-3-ol
- 90409-77-1/poly(bis(4-carbophenoxy)propane)
- 2965-64-2/4-METHOXY-4'-FLUOROCHALCONE
- 67707-80-6/5,8-dimethoxy-N,N-dimethyl-1,2,3,4-tetrahydronaphthalen-2-amine
- 163120-03-4/2,4-Pentadienoic acid,5-[(3S,4S,4aR,6aS,12aR,13S,15S,16bS,16cS)-2,3,4,4a,5,6,6a,7,10,12,12a,13,14,15,16b,16c-hexadecahydro-3,13-dihydroxy-4,10,10,12,12,16b,16c-heptamethyl-15-(1-methylethenyl)-14-oxo-1H-benz[6,7]indeno[1,2-b]pyrano[3',4':4,5]cyclopenta[1,2-f]pyrrolo[3,2,1-hi]indol-4-yl]-2-methyl-,(2E,4E)-
- 221894-22-0/b-D-Galactopyranoside, (3b,14b,20R)-20-[[6-O-(6-deoxy-a-L-mannopyranosyl)-b-D-glucopyranosyl]oxy]-14-hydroxypregn-5-en-3-yl6-deoxy-4-O-b-D-glucopyranosyl-3-O-methyl-(9CI)
- 90194-33-5/Benzenesulfonic acid, di-C14-20-alkyl derivs., sodium salts
- 26554-26-7/7-methylguanosine triphosphate
- 23807-59-2/(15R)-7α,20-Epoxykaur-16-ene-1β,6β,7β,15-tetrol
- 130262-94-1/2-(4'-isothiocyanatobenzyl)imidazoline
- 68551-21-3/Alkanes, C3-4
- 104639-50-1/2H-1,4-Benzodiazepin-2-one,7-bromo-1,3-dihydro-5-(2-pyridinyl)-, nitroso derivs.
- 28058-20-0/2-[(2E)-2-(4-methylbenzylidene)hydrazinyl]-5-nitropyridine
- 55242-74-5/Oxifungin hydrochloride
- 13608-25-8/4-methyl-6-(methylsulfanyl)-2,3,4,9-tetrahydro-1H-beta-carboline
- 77632-98-5/2-hydroxy-3-[(2E)-3-(2-methoxyphenyl)prop-2-enoyl]cyclohepta-2,4,6-trien-1-one
