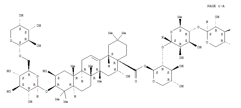
aster saponin G(146714-06-9)
- Name: aster saponin G
- Synonyms:AstersaponinG
- Molecular Formula:C57H92 O26
- Molecular Weight:1193.32
- CAS Registry Number:146714-06-9
- EINECS:
- Melting Point:
- Water Solubility:
Other Product
- 53318-10-8/(18α)-3β-Hydroxyolean-12-ene-27,28-dioic acid
- 23413-80-1/ASPIRIN ALUMINIUM
- 68855-54-9/DIATOMACEOUS EARTH
- 78405-39-7/azanium copper 1,1-diphosphonatoethanol
- 63547-62-6/dimethyl 3-aminopent-2-enedioate
- 32449-36-8/N-[2-(1-Ethylnaphtho[1,2-d]thiazol-2(1H)-ylidene)-1-methylethylidene]-4-methylbenzenamine
- 75300-76-4/Copper, [29H,31H-phthalocyaninato(2-)-N29,N30,N31,N32]-, aminosulfonyl sulfo derivs., ammonium sodium salts, compds. with 2-(diethylamino)ethanol
- 80902-00-7/Cyanobacterin
- 71376-43-7/2,5-bis(dodecylamino)-3-ethoxy-6-methylcyclohexa-2,5-diene-1,4-dione
- 77762-21-1/1,2,3,4-tetrahydro-1,4-methanopyridazino[1,2-b]phthalazine-6,11-dione
- 20592-42-1/Estra-1,3,5(10),16-tetraene-3,17-diol diacetate
- 3515-58-0/5-methoxy-3-{[1-(2-phenylethyl)piperidin-4-yl]methyl}-1H-indole
- 2170-44-7/1,2,4,6,7,9-HEXABROMO-3,8-DICHLORODIBENZO-PARA-DIOXIN
- 65384-02-3/2-METHYL-4,5,6,7-TETRAHYDRO-1-BENZOFURAN-3-CARBOXYLIC ACID
- 53666-47-0/N-(2-chloro-5-methoxyphenyl)formamide
- 2148-68-7/1-{2-[3-(pyridin-2-yl)-1,2-oxazol-5-yl]ethyl}piperidinium chloride
- 11094-60-3/decaoleic acid, decaester with decaglycerol
- 13185-53-0/1-methylcyclohexane-1,2-dicarboxylic acid
- 61083-04-3/ethynodiol testosterone ester
- 146714-06-9/aster saponin G
- 16528-55-5/2-Propanethiol,2-methyl-, tin(4+) salt (8CI,9CI)
- 81918-96-9/14,15-leukotriene A4
- 21658-48-0/8-Chloro-10-[3-(dimethylamino)propyl]-3-methoxy-10H-phenothiazin-2-ol
- 129811-15-0/Collagens,hydrolyzates, 3-(dimethyloctadecylammonio)-2-hydroxypropyl
- 85018-88-8/2,9-Diethyl-2,9-dimethyldecanedioic acid
- 68398-07-2/N-(5-bromo-2-hydroxy-3-methoxybenzyl)-2-phenylethanaminium chloride
- 109314-15-0/Aconitane-7,8-diol,20-ethyl-1,6,14,16-tetramethoxy-4-[[[2-[(4-methoxy-3-methyl-1,4-dioxobutyl)amino]benzoyl]oxy]methyl]-,(1a,6b,14a,16b)- (9CI)
- 39148-51-1/1-Butyl-3,4,5,6-tetrahydro-2(1H)-pyrimidinethione
- 16183-32-7/CHEMBRDG-BB 4022329
- 961-22-8/AZINPHOS-METHYL OXON
