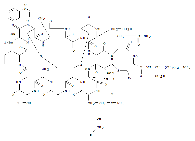
ancovenin(88201-41-6)
- Name: ancovenin
- Synonyms:6,43:15,40-Bis(methanothiomethano)pyrrolo[2,1-d1][1,4,7,10,13,16,19,22,25,28,31,34,37,40,43,46,49,52]thiaheptadecaazacyclopentapentacontine,cyclic peptide deriv.;L-Cysteinyl-L-valyl-L-glutaminyl-D-cysteinyl-L-cysteinyl-2,3-didehydroalanyl-L-phenylalanylglycyl-L-prolyl-L-leucyl-threo-b-mercapto-D-a-aminobutyryl-L-tryptophyl-L-seryl-L-cysteinyl-L-a-aspartylglycyl-L-asparaginyl-threo-b-mercapto-D-a-aminobutyryl-L-lysine cyclic (1®18),(4®14),(5®11)-tris(sulfide); L-Lysine,L-cysteinyl-L-valyl-L-glutaminyl-D-cysteinyl-L-cysteinyl-2,3-didehydroalanyl-L-phenylalanylglycyl-L-prolyl-L-leucyl-threo-b-mercapto-D-a-aminobutyryl-L-tryptophyl-L-seryl-L-cysteinyl-L-a-aspartylglycyl-L-asparaginyl-threo-b-mercapto-D-a-aminobutyryl-, cyclic (1®18),(4®14),(5®11)-tris(sulfide)
- Molecular Formula:C85H121 N23 O25 S3
- Molecular Weight:1961.2
- CAS Registry Number:88201-41-6
- EINECS:
- Melting Point:
- Water Solubility:
Other Product
- 79146-83-1/1,2,3-Benzenetriol, 4-(aminomethyl)-
- 18977-36-1/2,6-bis(m-nitrobenzylidene)cyclohexan-1-one
- 58979-80-9/2,3,7,8-tetraazaspiro[4.4]nonane
- 102434-00-4/1-(2-chloroethyl)-3-[2-(prop-2-en-1-yl)phenyl]urea
- 68401-03-6/Dalbinol 2'-O-β-D-glucopyranoside
- 116146-05-5/1,3,5-Triazine-2,4-diamine,6-chloro-N2,N2-diethyl-N4-(1-methyl-1-phenylethyl)-
- 17413-51-3/3-pyridylmethyl 2-(4-chlorophenoxy)-2-methylpropionate hydrochloride
- 6602-83-1/Zinc adenosine triphosphate
- 94587-92-5/Brl 33575
- 73927-01-2/3-acetylsulfanyl-1-methyl-pyrrolidine-2,5-dione
- 22052-75-1/4-(7-hydroxy-4-oxo-4H-chromen-2-yl)phenyl beta-D-glucopyranoside
- 57230-00-9/4-nitrophenyl 4-sulfamoylbenzoate
- 613-08-1/2-ANTHRACENECARBOXYLIC ACID
- 68552-02-3/Fatty acids, C18-unsatd., dimers, polymers with diethylenetriamine and oleic acid
- 35353-21-0/N-(1,3-benzothiazol-2-yl)-4-nitrobenzamide
- 112325-29-8/N-(4-ethoxyphenyl)-3-morpholin-4-yloctanamide
- 7367-82-0/ETHYL TRANS-2-OCTENOATE
- 79678-32-3/(2S,4S,4aS,6R,8aR)-6-(hydroxymethyl)-4-[2-hydroxy-4-(2-methyloctan-2-yl)phenyl]decahydronaphthalen-2-ol
- 10481-86-4/benzoyl-1,4-dipyrrolidinone
- 88201-41-6/ancovenin
- 201742-79-2/Bipinnatin J
- 114724-42-4/3-(3-amino-1,2,4-oxadiazole-5-yl)-quinuclidine
- 81102-60-5/2-(4-chlorophenyl)-2-(6-methylpyridazin-3-yl)ethanethioamide
- 33498-40-7/1,1-Diethoxy-2-pentene
- 10354-47-9/N-cyclohexylfuran-2-carboxamide
- 91625-75-1/6-fluorovitamin D3
- 6971-15-9/1-(2-pyridin-2-ylethyl)azonane
- 112953-12-5/6-deoxyilludin M
- 50910-27-5/alpha-(3-Methoxy-4-biphenylyl)-1-piperidinepropanol hydrochloride
- 766-77-8/Dimethylphenylsilane
