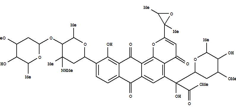
altromycin C(128439-48-5)
- Name: altromycin C
- Synonyms:4H-Anthra[1,2-b]pyran,D-altro-octonic acid deriv.; Altromycin C
- Molecular Formula:C46H57 N O17
- Molecular Weight:895.946
- CAS Registry Number:128439-48-5
- EINECS:
- Melting Point:
- Water Solubility:
Other Product
- 91379-47-4/1,2-bis[(6-oxo-1-cyclohexa-2,4-dienylidene)methylamino]guanidine
- 63701-85-9/17-[2-(1,3-benzodioxol-5-yl)ethyl]-3-methoxymorphinan 2,3-dihydroxybutanedioate (salt)
- 93980-82-6/(E)-2-(2-methylpropylidene)hexanal
- 6969-35-3/(furan-2-ylmethyl)(methyl)propanedioic acid
- 7242-86-6/benzene-1,2,4,5-tetracarboxylate
- 143760-05-8/1-[4-(4,4-diphenylbutyl)piperazin-1-yl]-3-phenylsulfanyl-propan-2-ol d ihydrochloride
- 64794-67-8/1,1'-[1,2-phenylenebis(methylene)]bis[2-(2-sulphonatoethyl)pyridinium]
- 4372-67-2/8-AZIDOADENOSINE
- 202851-43-2/Cyclopenta[5,6]pentaleno[1,6a-b]oxirene-3,6- dione,1a,2,7,7a-tetrahydro-2,2,7,7a-tetramethyl-,(1aR,7S,7aS,7bS)-rel-(-)-
- 20050-45-7/1/C9H6Cl2O2/c10-9(11)7(13-8(9)12)6-4-2-1-3-5-6/h1-5,7
- 88643-48-5/sinulariolide
- 22515-48-6/2-methylprop-2-enoic acid - dimethyl-lambda~2~-plumbane (2:1)
- 12401-86-4/sodium oxide
- 69466-88-2/5,6-Bis(p-chlorophenyl)-3-methylthio-1,2,4-triazine
- 128439-48-5/altromycin C
- 6929-40-4/B-PABA
- 63019-08-9/α,β-Diethyl-4,4'-stilbenediol dipalmitate
- 160543-04-4/7,9-BIS-HYDROXYMETHYLBENZ[C]ACRIDINE
- 77053-48-6/Agecorynin D
- 72987-16-7/2-[[4-[[4-[(4-amino-9,10-dihydro-9,10-dioxo-3-sulpho-1-anthryl)amino]cyclohexyl]amino]-6-fluoro-1,3,5-triazin-2-yl]amino]benzene-1,4-disulphonic acid, potassium sodium salt
- 149639-76-9/Card-20(22)-enolide,5,11,14-trihydroxy-12-oxo-2,3-[[(2S,3S,4R,6R)-tetrahydro-3-hydroxy-4-methoxy-6-methyl-2H-pyran-3,2-diyl]bis(oxy)]-,(2a,3b,5b,11a)- (9CI)
- 20032-40-0/1-[(1-fluorovinyl)sulfinyl]-4-methylbenzene
- 13887-79-1/2-methylundecanonitrile
- 2835-81-6/DL-2-Aminobutyric acid
- 81638-99-5/5-oxo-N-(4-piperidin-1-ylbut-2-yn-1-yl)-L-prolinamide
- 5896-42-4/N-[(1Z,2Z)-2-bromo-3-phenylprop-2-en-1-ylidene]-4-phenylpiperazin-1-amine
- 88877-60-5/Ethyl (+-)-4-(benzoyloxy)-2-oxo-1-pyrrolidineacetate
- 642-05-7/ALLOIMPERATORIN
- 65098-54-6/4-O-{6-deoxy-4-O-[(1S,2R,4R)-4-(alpha-D-glycero-hexopyranosyloxy)-2,3-dihydroxy-5-(hydroxymethyl)cyclohexyl]-alpha-D-erythro-hexopyranosyl}-alpha-L-erythro-hexopyranose
- 68219-63-6/2-(3-methyl-butyrylamino)-propionic acid
