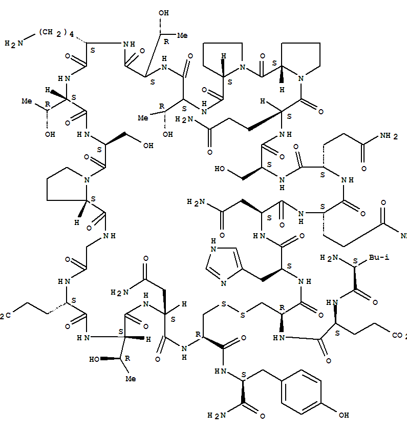
alpha-cobratoxin (1-24) amide(147710-70-1)
- Name: alpha-cobratoxin (1-24) amide
- Synonyms:1H,5H-Tripyrrolo[2,1-s:2',1'-k1:2'',1''-n1][1,2,5,8,11,14,17,20,23,26,29,32,35,38,41,44,47,50,53,56,59]dithianonadecaazacyclodohexacontine,cyclic peptide deriv.
- Molecular Formula:C105H162 N32 O39 S2
- Molecular Weight:2560.73
- CAS Registry Number:147710-70-1
- EINECS:
- Melting Point:
- Water Solubility:
Other Product
- 161748-43-2/Methanone,[7-hydroxy-5-methoxy-2,2-dimethyl-6-(3-methyl-2-buten-1-yl)-2H-1-benzopyran-8-yl]phenyl-
- 71839-05-9/6-sulfooxymethylbenzo(a)pyrene
- 53460-76-7/N-(3-Chloro-2-hydroxypropyl)-p-nitrobenzamide
- 24003-72-3/N-phenyl-N-(phenylacetyl)glycine
- 88992-91-0/N-(2-ACRYLOYLOXYETHYL)-N,N-DIMETHYL-N-(3-SULFOPROPYL)AMMONIUM BETAINE
- 15816-87-2/Lanthanum138
- 18471-21-1/2-[Bis(2-hydroxypropyl)amino]-4,5-diphenyloxazole
- 37277-93-3/Aminotransferase,D-methionine
- 30362-29-9/4-azido-N-ethyl-6-(ethylsulfanyl)-1,3,5-triazin-2-amine
- 98094-86-1/Lupinalbin C
- 151879-88-8/DNA,d(P-thio)(G-T-C-A-G-C-C-A-T-G-G-T-C-C-C-C-C-C-C-C) (9CI)
- 151705-90-7/Methane,(chlorodifluoromethoxy)trifluoro-
- 56446-41-4/2,6-pyridinophane
- 107638-88-0/2,4-Dinitro-3-phenylpentane dinitrile with 2,2-dichloro-N-(2,2-dichlor oethyl)ethanamine
- 68990-17-0/Sulfated lard oil
- 73972-83-5/Thiophosphoric acid O,O-dibutyl S-[bis(dibutoxyphosphinyl)methyl] ester
- 28804-67-3/tetrachloronitrobenzene
- 147710-70-1/alpha-cobratoxin (1-24) amide
- 63884-49-1/2,2-Diethyl-1,3-propanediol=1-(dimethylcarbamate)
- 66974-68-3/5-chloro-2-[(1E)-3-methyl-3-octyltriaz-1-en-1-yl]benzoic acid
- 68092-74-0/Bis[[3-(isocyanatomethyl)phenyl]carbamic acid]oxybis(1-methyl-2,1-ethanediyl) ester
- 13131-19-6/10-methyl-1,4-dihydro-1,4-(epiminomethano)naphthalen-9-one
- 32000-67-2/5-iodo-1,6-dimethyl-3-phenylpyrimidine-2,4(1H,3H)-dione
- 67905-55-9/sodium 1-amino-9,10-dihydro-4-[[4-[(methylamino)methyl]phenyl]amino]-9,10-dioxoanthracene-2-sulphonate
- 18005-38-4/Methylphosphonochloridothioic acid O-butyl ester
- 21269-15-8/3-[3-(2-methoxyphenoxy)pyrrolidin-1-yl]propyl 3,4,5-trimethoxybenzoate (2E)-but-2-enedioate
- 13718-34-8/manganese dipotassium bis(sulphate)
- 17284-97-8/3-Chloro-6-hydrazinopyridazine
- 87684-66-0/1H-1,4-Benzodiazepine-3-carboxylic acid,7-chloro-2,3-dihydro-2-oxo-5-phenyl- ,monopotassium salt,compd. with potassium hydroxide (K(OH)) (1:1),mixt. with 3-(10,11-dihydro-5H-dibenzo[a,d]cyclohepten- 5-ylidene)-N,N-dimethyl-1-propanamine
- 38331-09-8/SD 8542
