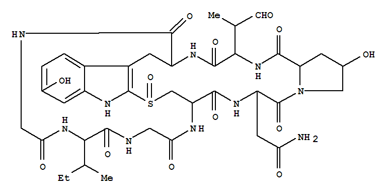
aldoamanitin(88498-52-6)
- Name: aldoamanitin
- Synonyms:9,18-(Iminoethaniminoethaniminoethaniminomethano)pyrrolo[1',2':8,9][1,5,8,11,14]thiatetraazacyclooctadecino[18,17-b]indole,cyclic peptide deriv.
- Molecular Formula:C38H50 N10 O13 S
- Molecular Weight:886.93
- CAS Registry Number:88498-52-6
- EINECS:
- Melting Point:
- Water Solubility:
Other Product
- 21053-98-5/5-(4-methylphenyl)-3H-furan-2-one
- 74037-84-6/α-[(2-Methoxyphenoxy)methyl]-4-phenyl-1-piperazineethanol
- 97553-37-2/Litsea citrata, ext.
- 68187-88-2/Acid chlorides, soya
- 6016-84-8/N-[(3Z)-3-(1,3-benzoxazol-2(3H)-ylidene)-4-oxocyclohexa-1,5-dien-1-yl]-5-(3-chlorophenyl)furan-2-carboxamide
- 5626-80-2/2,1-Benzisoxazoline
- 4864-97-5/2-(1-methylnaphthalen-2-yl)pyridine
- 68610-36-6/3-(C12-C15)Alkyloxypropanenitrile
- 21696-06-0/1,4-Benzenedicarboxamide,N1,N4-bis[4-(4,5-dihydro-1H-imidazol-2-yl)phenyl]-2-methyl-
- 71524-68-0/methylthioacetylaminoethanol
- 92758-81-1/4-[2-(4-methylcyclohex-3-en-1-yl)propan-2-yl]phenol
- 131231-24-8/3-(3-PYRIDYL)BENZALDEHYDE
- 13441-53-7/4-formyl-1-methylpyridinium
- 151310-34-8/Cyclopenta[c]pyran-4-carboxylicacid,1,4a,5,6,7,7a-hexahydro-7-hydroxy-1-[[6-O-[(2E)-3-(4-hydroxyphenyl)-1-oxo-2-propen-1-yl]-b-D-glucopyranosyl]oxy]-7-methyl-,(1S,4aS,7S,7aS)-
- 70960-80-4/2,5-bis(dodecylamino)-3-methoxy-6-methylcyclohexa-2,5-diene-1,4-dione
- 118203-77-3/3-O-(4-O-galactopyranosyl-glucopyranosyl)-1,2-di-O-tetradecyl-sn-glyceryol
- 7511-90-2/N~2~-(6-methoxyquinolin-8-yl)-N~1~-methyl-N~1~-propylpropane-1,2-diamine
- 88498-52-6/aldoamanitin
- 8013-11-4/Cassia
- 67697-49-8/2-[(1-butyl-2-methyl-1H-indol-3-yl)carbonyl]benzoic acid
- 7469-59-2/2-[(2-ethoxyethyl)(ethyl)amino]-1,2-diphenylethanol
- 36877-68-6/2-nitro-1H-imidazole
- 636-32-8/1,2,4,5-tetrahydroxybenzene
- 7465-54-5/O,O-bis[5-methyl-2-(propan-2-yl)phenyl] hydrogen phosphorodithioate
- 58318-92-6/Poly(oxy-1,2-ethanediyl), .alpha.-dodecyl-.omega.-hydroxy-, phosphate, potassium salt
- 1252-56-8/(3Z)-3-(3-bromodibenzo[b,e]thiepin-11(6H)-ylidene)-N,N-dimethylpropan-1-aminium 3-carboxypropanoate
- 84373-12-6/3',6'-bis[(2-ethyl-6-methylphenyl)amino]spiro[isobenzofuran-1(3H),9'-[9H]xanthene]-3-one
- 26910-41-8/[(2-chloropropan-2-yl)sulfinyl]benzene
- 96885-62-0/1H-Imidazo(2,1-f)purine-2,4(3H,8H)-dione, 8-cyclohexyl-1,3-dimethyl-7-(4-methylphenyl)-
- 90026-22-5/Poly(oxy-1,2-ethanediyl),R-(3-carboxy-1- oxosulfopropyl)-ö-(dodecyloxy)-,disodium salt,mixt. with R-sulfo-ö-(dodecyloxy)poly(oxy-1,- 2-ethanediyl) sodium salt
