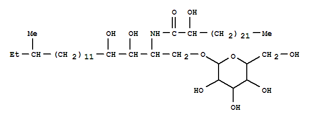
agelasphin 11(152139-44-1)
- Name: agelasphin 11
- Synonyms:Agelasphin11
- Molecular Formula:C49H97 N O10
- Molecular Weight:860.3
- CAS Registry Number:152139-44-1
- EINECS:
- Melting Point:
- Water Solubility:
Other Product
- 550-44-7/N-Methylphthalimide
- 131158-90-2/glycine-rich protein, petunia
- 20091-92-3/3-[2-(Methoxymethyl)-3-(5-nitro-2-furyl)allylidene]dithiocarbazic acid methyl ester
- 53720-80-2/TRICHLOPHENIDIN
- 17075-20-6/4-(methylsulfonyl)quinoline
- 69677-65-2/(4-benzylphenyl)(4-chlorophenyl)methanone
- 25021-08-3/2-Maleimido acetic acid
- 5694-74-6/2-Butyl-2-ethyl-1,3-dioxolane-4-methanol
- 68003-12-3/4-[(2-chloro-5-sulphophenyl)azo]benzenediazonium chloride
- 127374-98-5/N-methyl-N-(4-morpholin-4-yl-6-propyl-1,3,5-triazin-2-yl)benzamide hydrochloride
- 12162-60-6/diholmium triselenide
- 49556-76-5/Benzene-1,2,4-tricarboxylic acid, compound with 2-methyl-1H-imidazole-1-propiononitrile (1:1)
- 1719-57-9/Chloro(chloromethyl)dimethylsilane
- 5629-84-5/26340-89-6
- 2292-79-7/CONGRESSANE
- 78693-53-5/Butyltripentyltin
- 172470-02-9/N-{4-[(3,5-dimethylphenyl)sulfanyl]-5-methyl-2-oxo-1,2-dihydropyridin-3-yl}-2-phenylacetamide
- 13770-96-2/Sodium aluminium hydride
- 152139-44-1/agelasphin 11
- 17073-35-7/BRN 2216111
- 23325-09-9/Antimony,tris(N,N-dipentylcarbamodithioato-kS,kS')-, (OC-6-11)-
- 69455-44-3/(5Z)-3-(3-iodophenyl)-5-[(4-methoxyphenyl)methylidene]-2-thioxoimidazolidin-4-one
- 20349-44-4/Sodium 6-(acetylamino)-4-hydroxynaphthalene-2-sulphonate
- 19502-10-4/P,P-bis(aziridin-1-yl)-N-[2-(5-methoxy-1H-indol-3-yl)ethyl]phosphinic amide
- 517-28-2/Hematoxylin
- 2198-59-6/4-AMINODIPHENYLAMINE HYDROCHLORIDE
- 27897-40-1/N-(2-hydroxyethyl)-N-(1-phenylpropan-2-yl)pyridine-3-carboxamide
- 1752-40-5/2-Butanone thiosemicarbazone
- 119152-54-4/rabdosiin
- 90990-13-9/Fatty acids, C12-18 and C12-18-iso, esters with propylene glycol
